Официальное опубликование правовых актов
ОФИЦИАЛЬНОЕ ОПУБЛИКОВАНИЕ
Постановление Администрации Смоленской области от 16.02.2015 № 55
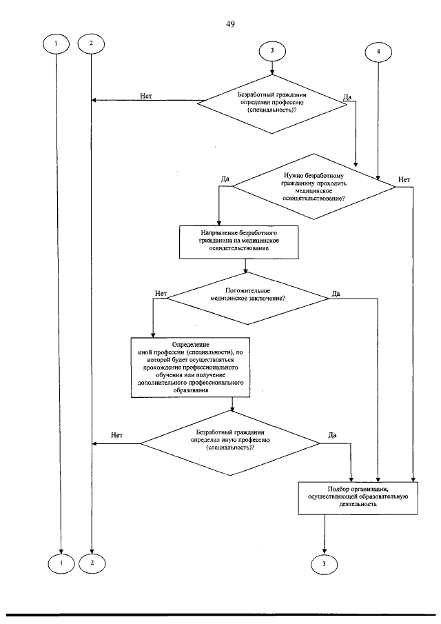
"Об утверждении Административного регламента предоставления областными государственными казенными учреждениями службы занятости населения государственной услуги "Профессиональное обучение и дополнительное профессиональное образование безработных граждан, включая обучение в другой местности"
Номер опубликования: 6700201502180007
Дата опубликования: 18.02.2015
Страница №49 из 53:
Увеличить