Официальное опубликование правовых актов
ОФИЦИАЛЬНОЕ ОПУБЛИКОВАНИЕ
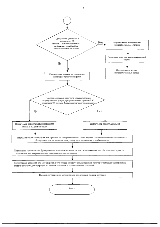
Постановление Администрации Смоленской области от 10.12.2014 № 845
"О внесении изменений в постановление Администрации Смоленской области от 29.10.2013 № 857"
Номер опубликования: 6700201412110001
Дата опубликования: 11.12.2014
Страница №7 из 7:
Увеличить