Официальное опубликование правовых актов
ОФИЦИАЛЬНОЕ ОПУБЛИКОВАНИЕ
Приказ Министерства природных ресурсов и экологии Свердловской области от 13.02.2026 № 168
"О внесении изменений в Лесохозяйственные регламенты лесничеств Свердловской области"
(Зарегистрирован 25.02.2026 № 4316)
Номер опубликования: 6601202602260001
Дата опубликования: 26.02.2026
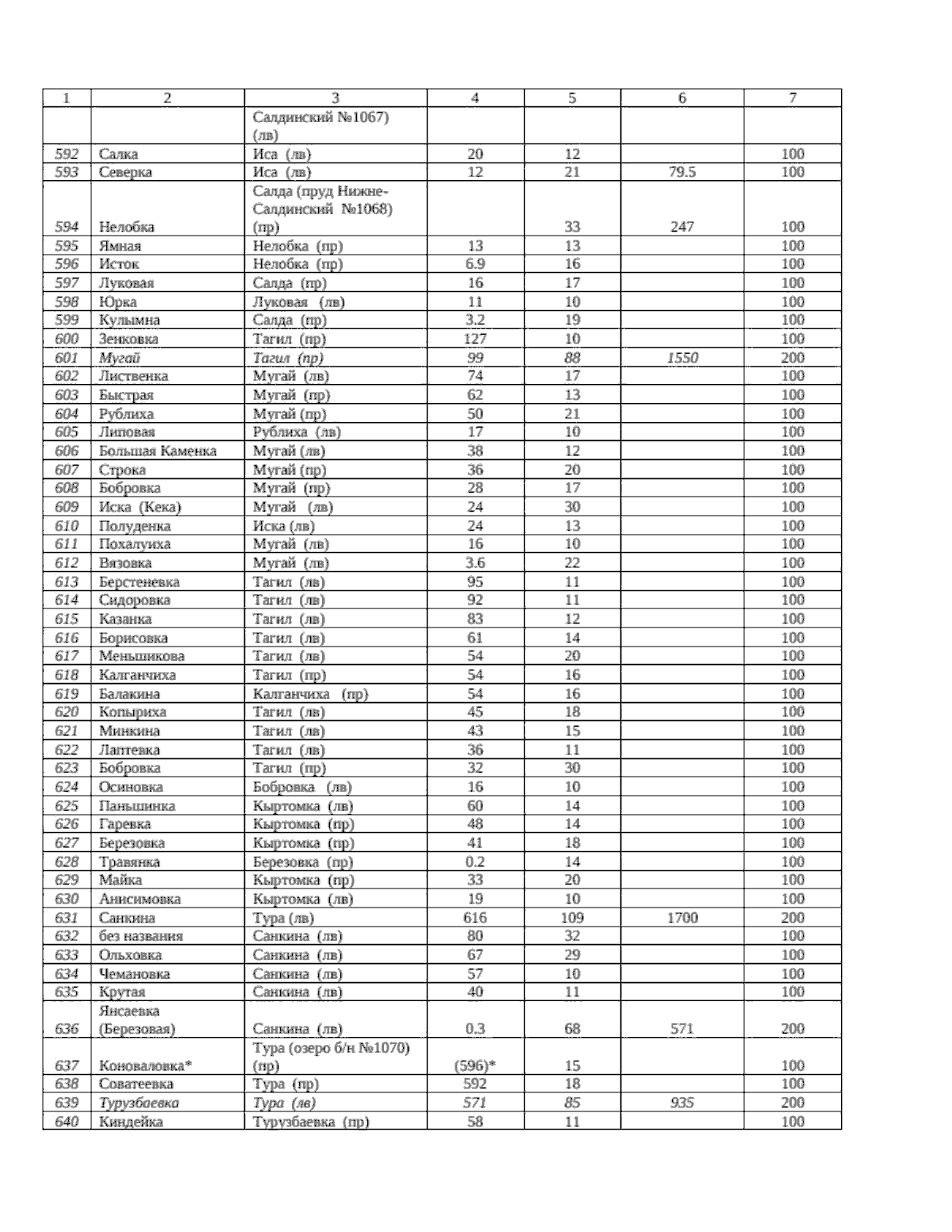
Страница №256 из 7796:
Увеличить