Официальное опубликование правовых актов
ОФИЦИАЛЬНОЕ ОПУБЛИКОВАНИЕ
Приказ Министерства строительства и развития инфраструктуры Свердловской области от 05.02.2026 № 45-П
"О внесении изменений в Генеральный план городского округа Первоуральск, утвержденный решениями Первоуральской городской Думы от 25.09.2008 № 485, от 28.10.2010 № 265 и от 29.03.2012 № 482"
(Зарегистрирован 09.02.2026 № 4262)
Номер опубликования: 6601202602110004
Дата опубликования: 11.02.2026
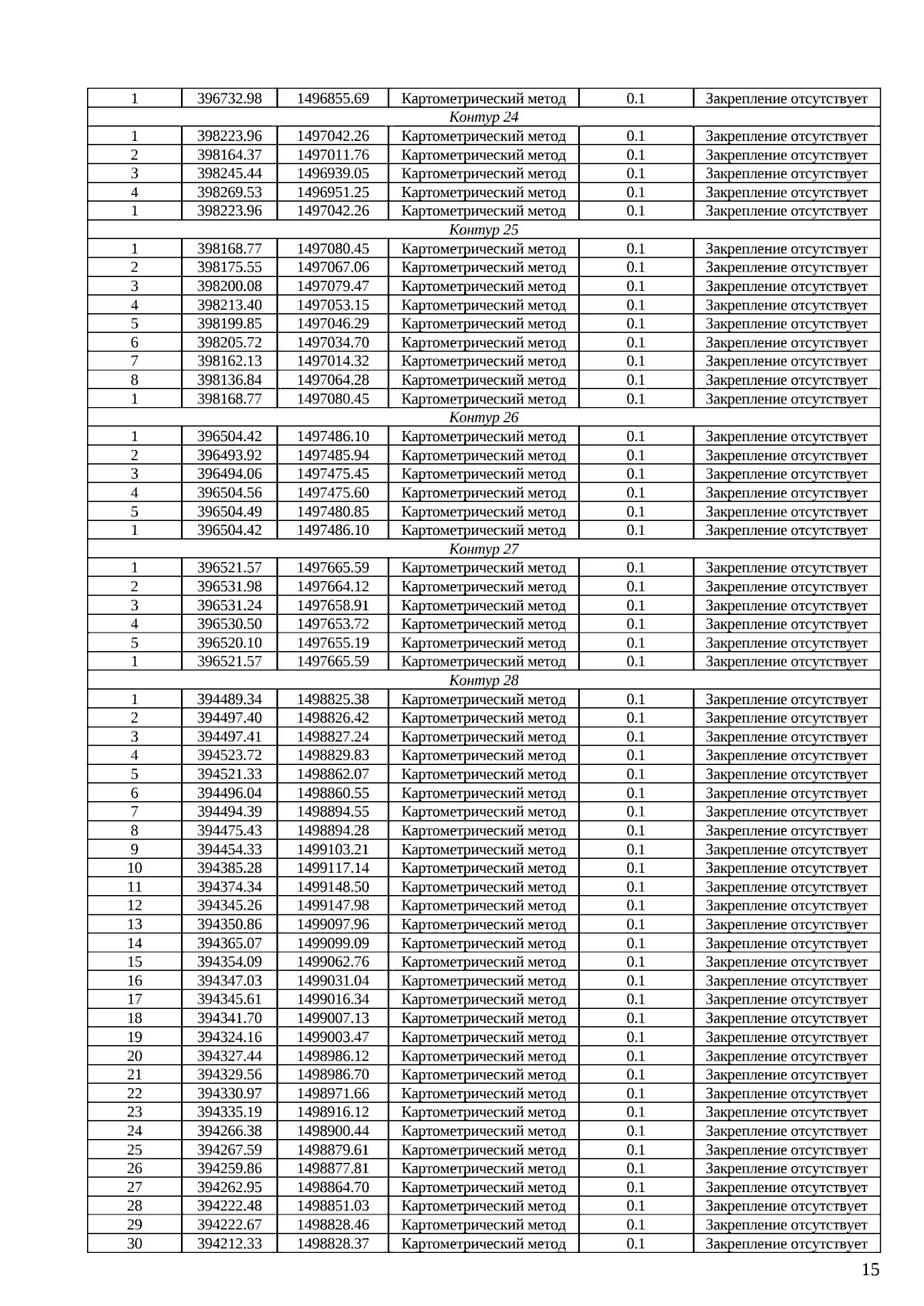
Страница №244 из 359:
Увеличить