Официальное опубликование правовых актов
ОФИЦИАЛЬНОЕ ОПУБЛИКОВАНИЕ
Постановление Региональной энергетической комиссии Свердловской области от 13.12.2023 № 228-ПК
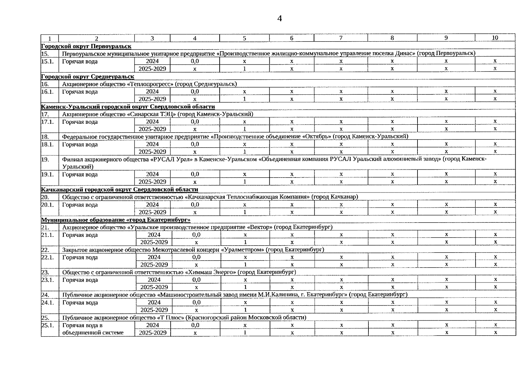
"Об установлении теплоснабжающим организациям Свердловской области долгосрочных параметров регулирования, устанавливаемых на долгосрочный период регулирования для формирования тарифов на горячую воду в открытых системах теплоснабжения (горячего водоснабжения) с использованием метода индексации установленных тарифов"
(Зарегистрирован 29.01.2026 № 4208)
Номер опубликования: 6601202602040010
Дата опубликования: 04.02.2026
Страница №4 из 6:
Увеличить