Официальное опубликование правовых актов
ОФИЦИАЛЬНОЕ ОПУБЛИКОВАНИЕ
Постановление Региональной энергетической комиссии Свердловской области от 13.12.2023 № 229-ПК
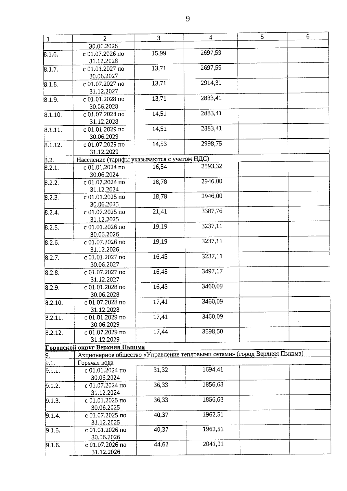
"Об установлении тарифов на горячую воду в открытых системах теплоснабжения (горячего водоснабжения), поставляемую теплоснабжающими организациями Свердловской области, с использованием метода индексации установленных тарифов на основе долгосрочных параметров регулирования"
(Зарегистрирован 29.01.2026 № 4209)
Номер опубликования: 6601202602040004
Дата опубликования: 04.02.2026
Страница №9 из 31:
Увеличить