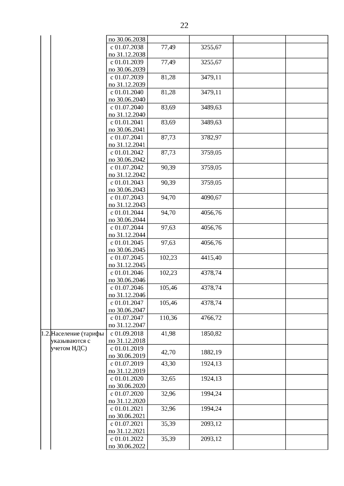
Постановление Региональной энергетической комиссии Свердловской области от 13.12.2023 № 235-ПК
"О внесении изменений в отдельные постановления Региональной энергетической комиссии Свердловской области по установлению тарифов на услуги горячего водоснабжения организациям, осуществляющим горячее водоснабжение с использованием закрытых систем горячего водоснабжения"
(Зарегистрирован 29.01.2026 № 4215)
"О внесении изменений в отдельные постановления Региональной энергетической комиссии Свердловской области по установлению тарифов на услуги горячего водоснабжения организациям, осуществляющим горячее водоснабжение с использованием закрытых систем горячего водоснабжения"
(Зарегистрирован 29.01.2026 № 4215)
Номер опубликования: 6601202602030054
Дата опубликования:
03.02.2026
