Официальное опубликование правовых актов
ОФИЦИАЛЬНОЕ ОПУБЛИКОВАНИЕ
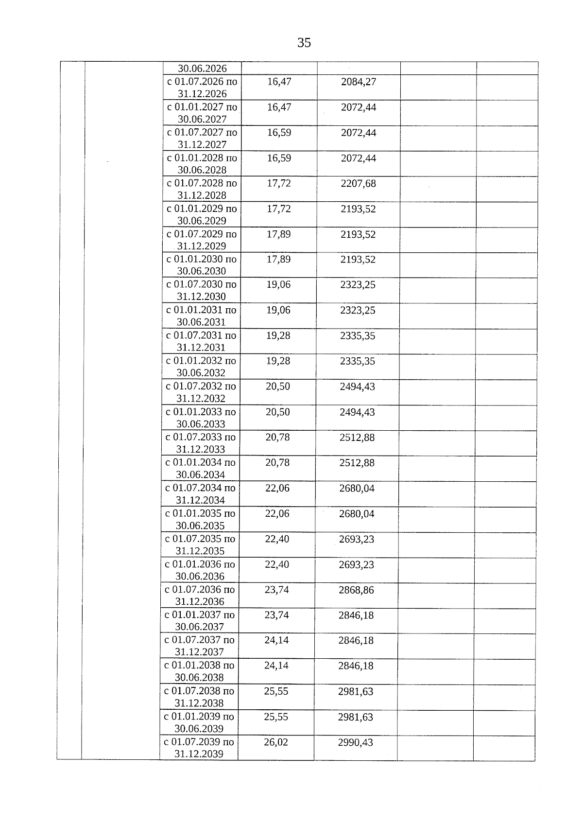
Постановление Региональной энергетической комиссии Свердловской области от 13.12.2023 № 234-ПК
"О внесении изменений в отдельные постановления Региональной энергетической комиссии Свердловской области об установлении тарифов на горячую воду в открытых системах теплоснабжения (горячего водоснабжения)"
(Зарегистрирован 29.01.2026 № 4214)
Номер опубликования: 6601202602030046
Дата опубликования: 03.02.2026
Страница №35 из 50:
Увеличить