Официальное опубликование правовых актов
ОФИЦИАЛЬНОЕ ОПУБЛИКОВАНИЕ
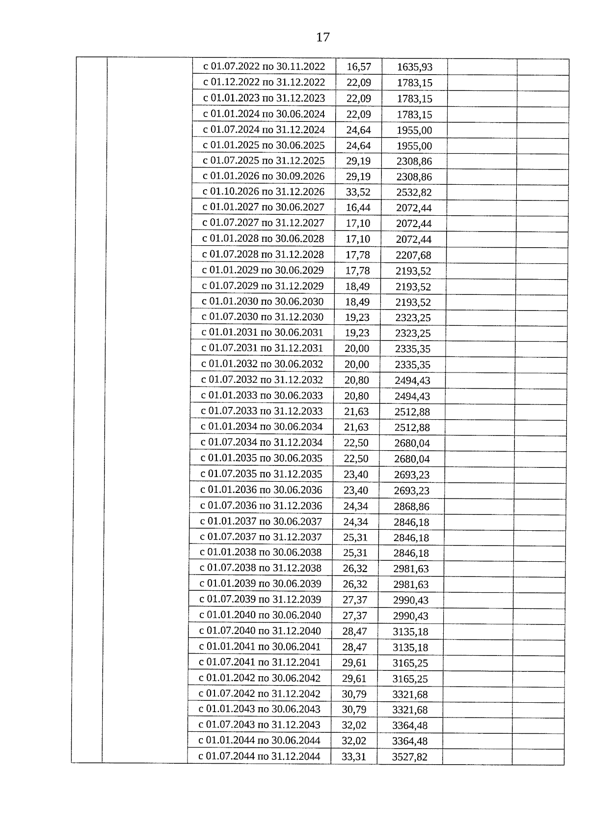
Постановление Региональной энергетической комиссии Свердловской области от 29.12.2025 № 337-ПК
"О внесении изменений в отдельные постановления Региональной энергетической комиссии Свердловской области"
(Зарегистрирован 12.01.2026 № 3928)
Номер опубликования: 6601202601150002
Дата опубликования: 15.01.2026
Страница №17 из 22:
Увеличить