Официальное опубликование правовых актов
ОФИЦИАЛЬНОЕ ОПУБЛИКОВАНИЕ
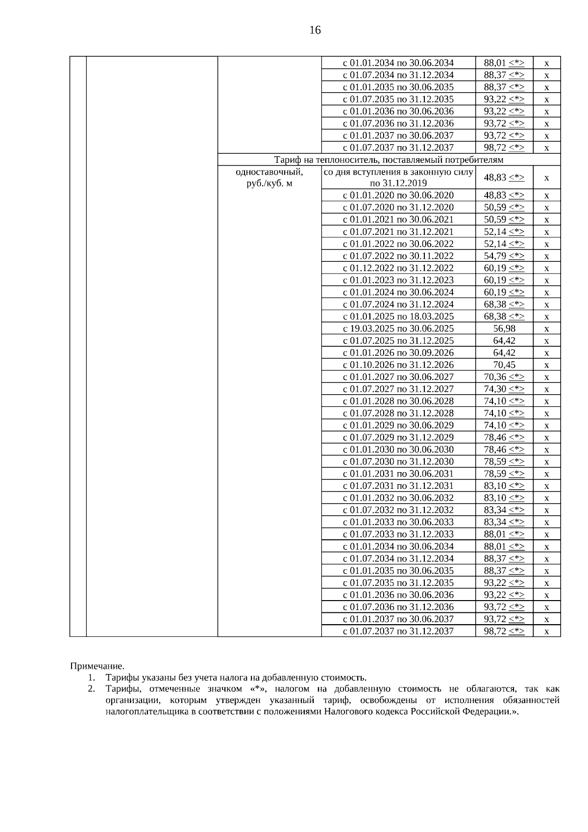
Постановление Региональной энергетической комиссии Свердловской области от 15.12.2025 № 295-ПК
"О внесении изменений в отдельные постановления Региональной энергетической комиссии Свердловской области об установлении долгосрочных параметров регулирования и тарифов на теплоноситель"
(Зарегистрирован 23.12.2025 № 3790)
Номер опубликования: 6601202512290036
Дата опубликования: 29.12.2025
Страница №16 из 96:
Увеличить