Официальное опубликование правовых актов
ОФИЦИАЛЬНОЕ ОПУБЛИКОВАНИЕ
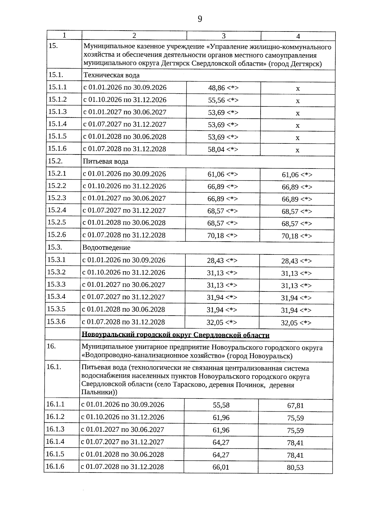
Постановление Региональной энергетической комиссии Свердловской области от 15.12.2025 № 291-ПК
"Об установлении тарифов в сфере холодного водоснабжения и (или) водоотведения организациям водопроводно-канализационного хозяйства Свердловской области с использованием метода индексации на основе долгосрочных параметров регулирования"
(Зарегистрирован 22.12.2025 № 3714)
Номер опубликования: 6601202512250022
Дата опубликования: 25.12.2025
Страница №9 из 14:
Увеличить