Официальное опубликование правовых актов
ОФИЦИАЛЬНОЕ ОПУБЛИКОВАНИЕ
Приказ Министерства природных ресурсов и экологии Свердловской области от 21.08.2025 № 1150
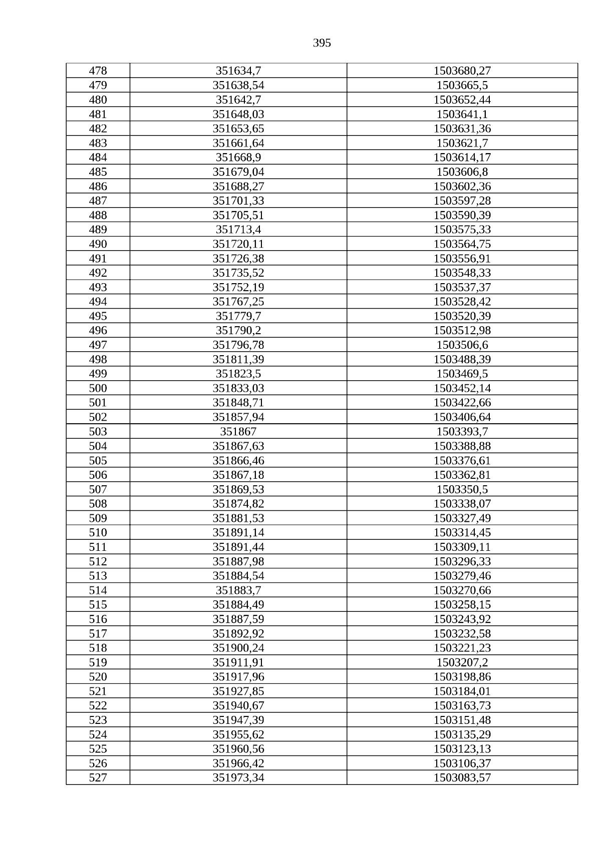
"О внесении изменений в приказ Министерства природных ресурсов и экологии Свердловской области от 30.10.2019 № 1780 "Об установлении границ водоохранных зон, прибрежных защитных полос и береговых линий водных объектов бассейна реки Чусовая, расположенных на территории Свердловской области, в том числе перечень координат их опорных точек"
(Зарегистрирован 15.12.2025 № 3613)
Номер опубликования: 6601202512180032
Дата опубликования: 18.12.2025
Страница №395 из 610:
Увеличить