Официальное опубликование правовых актов
ОФИЦИАЛЬНОЕ ОПУБЛИКОВАНИЕ
Приказ Министерства строительства и развития инфраструктуры Свердловской области от 20.05.2025 № 249-П
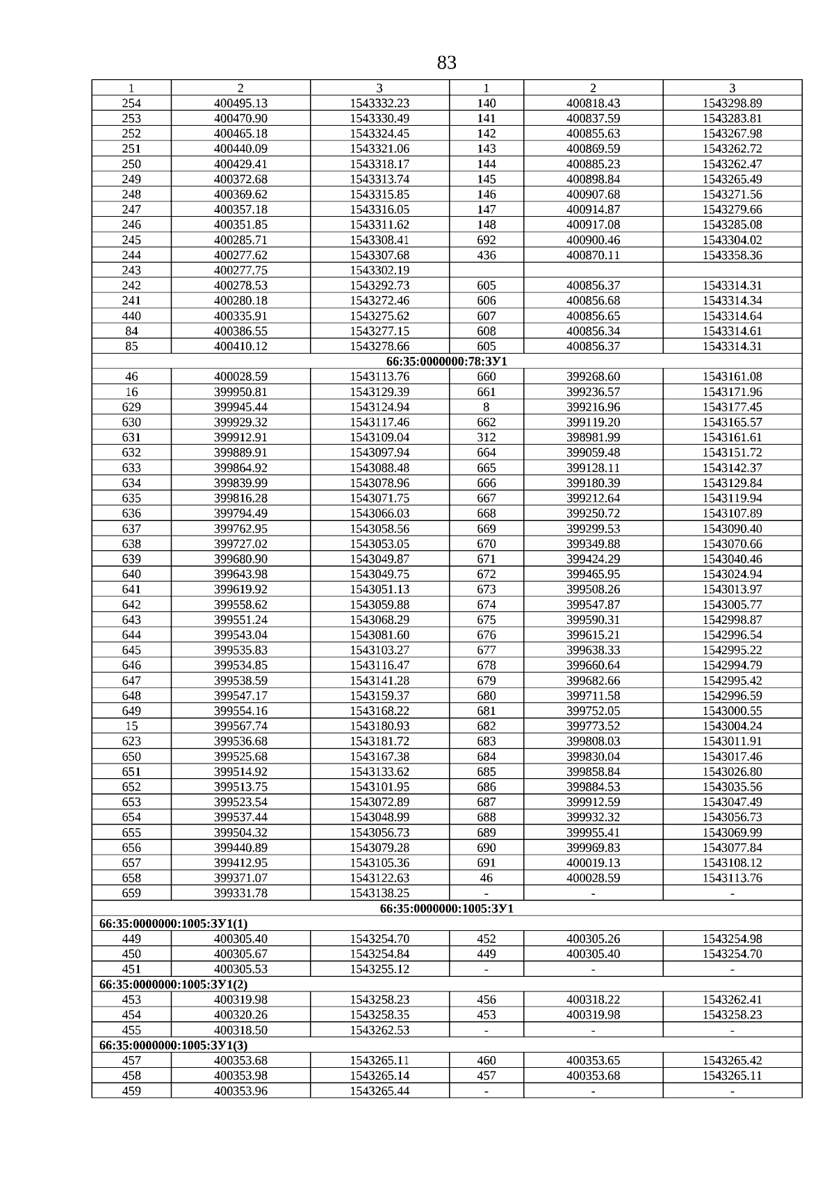
"Об утверждении основной части проекта планировки территории для размещения линейного объекта транспортной инфраструктуры регионального значения "Реконструкция автомобильной дороги Екатеринбургская кольцевая автомобильная дорога на участке км 10+225 – км 24+380 на территории муниципального образования "город Екатеринбург" и Березовского городского округа". Этап IV "Реконструкция автомобильной дороги на участке км 22+500 – км 24+380" и основной части проекта межевания территории для размещения линейного объекта транспортной инфраструктуры регионального значения "Реконструкция автомобильной дороги Екатеринбургская кольцевая автомобильная дорога на участке км 10+225 – км 24+380 на территории муниципального образования "город Екатеринбург" и Березовского городского округа". Этап IV "Реконструкция автомобильной дороги на участке км 22+500 – км 24+380"
(Зарегистрирован 26.05.2025 № 2955)
Номер опубликования: 6601202505270002
Дата опубликования: 27.05.2025
Страница №83 из 105:
Увеличить