Постановление Региональной энергетической комиссии Свердловской области от 13.02.2025 № 7-ПК
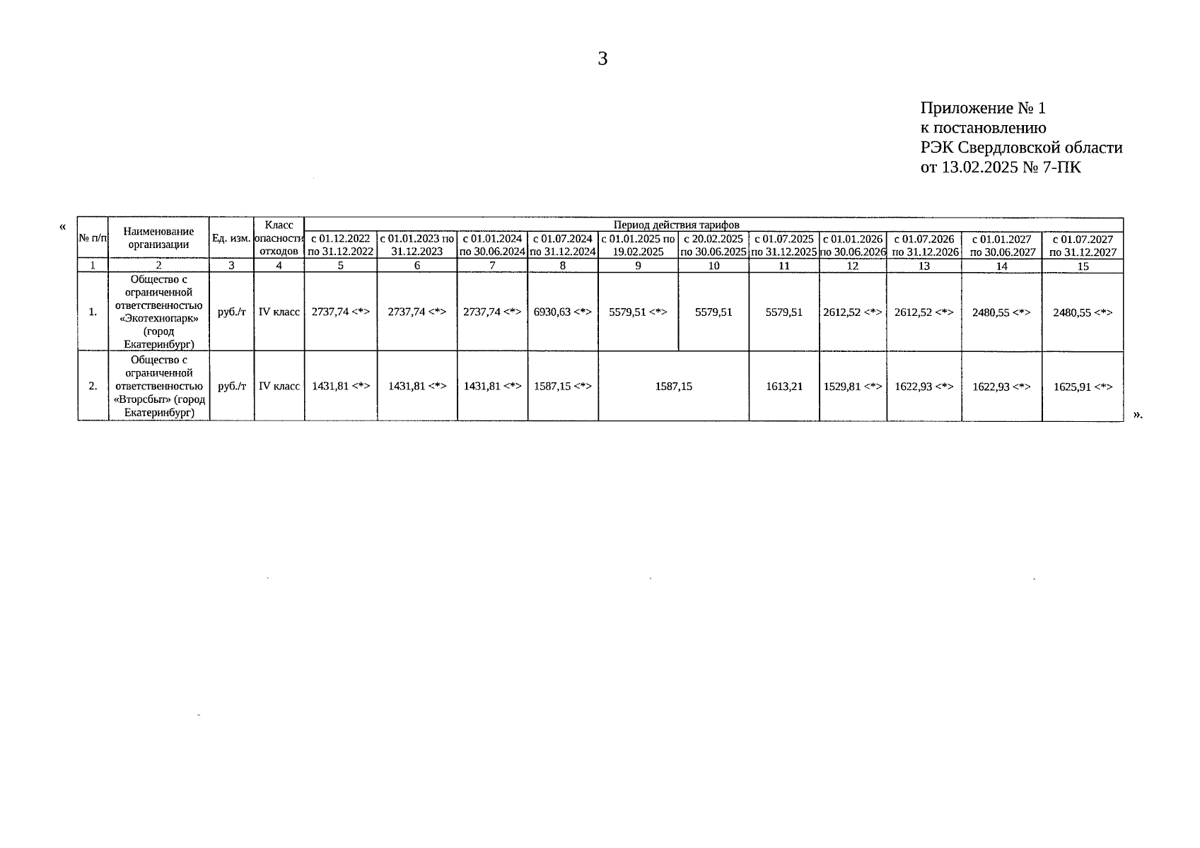
"О внесении изменений в постановление Региональной энергетической комиссии Свердловской области от 28.11.2022 № 229-ПК "Об утверждении производственных программ в области обращения с твердыми коммунальными отходами, установлении долгосрочных параметров регулирования тарифов, определяемых на долгосрочный период регулирования для установления предельных тарифов на обработку твердых коммунальных отходов, и установлении предельных тарифов на обработку твердых коммунальных отходов операторам по обращению с твердыми коммунальными отходами в Свердловской области на 2023 2027 годы"
(Зарегистрирован 19.02.2025 № 2675)
"О внесении изменений в постановление Региональной энергетической комиссии Свердловской области от 28.11.2022 № 229-ПК "Об утверждении производственных программ в области обращения с твердыми коммунальными отходами, установлении долгосрочных параметров регулирования тарифов, определяемых на долгосрочный период регулирования для установления предельных тарифов на обработку твердых коммунальных отходов, и установлении предельных тарифов на обработку твердых коммунальных отходов операторам по обращению с твердыми коммунальными отходами в Свердловской области на 2023 2027 годы"
(Зарегистрирован 19.02.2025 № 2675)
Номер опубликования: 6601202502200003
Дата опубликования:
20.02.2025
