Официальное опубликование правовых актов
ОФИЦИАЛЬНОЕ ОПУБЛИКОВАНИЕ
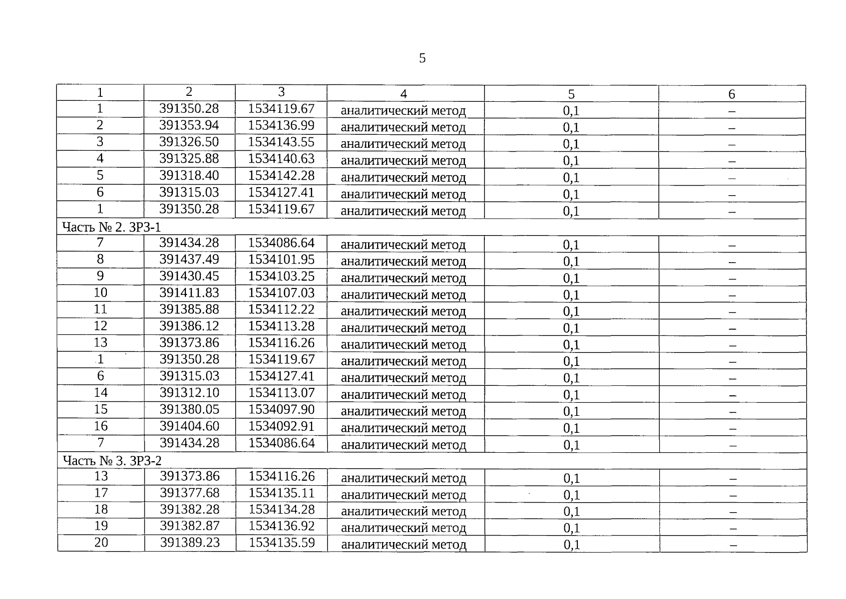
Приказ Управления государственной охраны объектов культурного наследия Свердловской области от 23.12.2024 № 843
"Об установлении зон охраны объекта культурного наследия регионального значения "Здание Страховой кассы", расположенного по адресу: Свердловская область, г. Екатеринбург, ул. Пушкина, д. 28/ул. Первомайская, д. 14, и утверждении требований к градостроительным регламентам в границах данных зон"
(Зарегистрирован 24.12.2024 № 2468)
Номер опубликования: 6601202412270036
Дата опубликования: 27.12.2024
Страница №5 из 14:
Увеличить