Официальное опубликование правовых актов
ОФИЦИАЛЬНОЕ ОПУБЛИКОВАНИЕ
Приказ Управления государственной охраны объектов культурного наследия Свердловской области от 23.12.2024 № 834
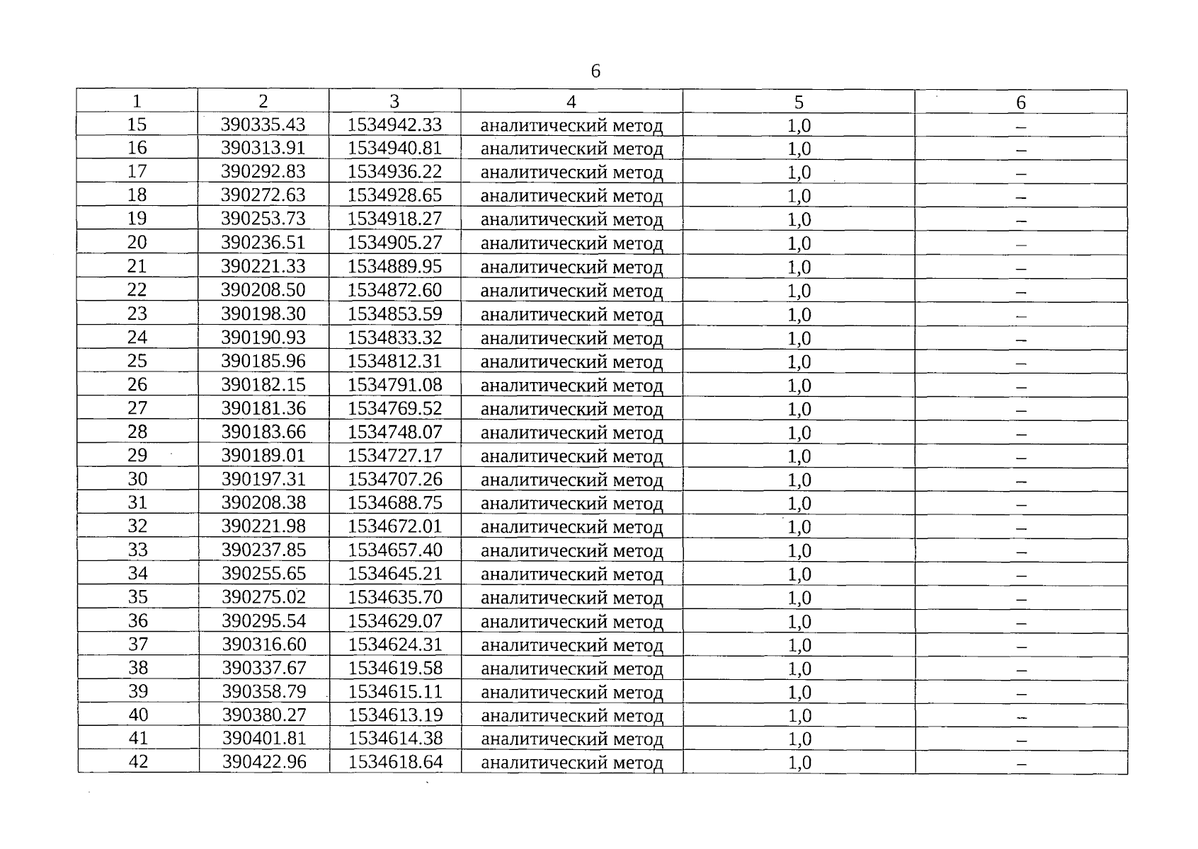
"Об утверждении графического описания местоположения границ защитной зоны объекта культурного наследия регионального значения "Усадьба Шумкова" и входящих в его состав объектов культурного наследия регионального значения "Двухэтажный каменный дом", "Одноэтажный деревянный флигель" и "Каменная ограда и ворота", расположенных по адресу: Свердловская область, г. Екатеринбург, ул. Красноармейская, д. 37-б, с перечнем координат характерных точек этих границ в системе координат, установленной для ведения Единого государственного реестра недвижимости, и режима использования земель в границах данной защитной зоны"
(Зарегистрирован 24.12.2024 № 2459)
Номер опубликования: 6601202412270026
Дата опубликования: 27.12.2024
Страница №6 из 9:
Увеличить