Официальное опубликование правовых актов
ОФИЦИАЛЬНОЕ ОПУБЛИКОВАНИЕ
Приказ Министерства природных ресурсов и экологии Свердловской области от 05.02.2024 № 125
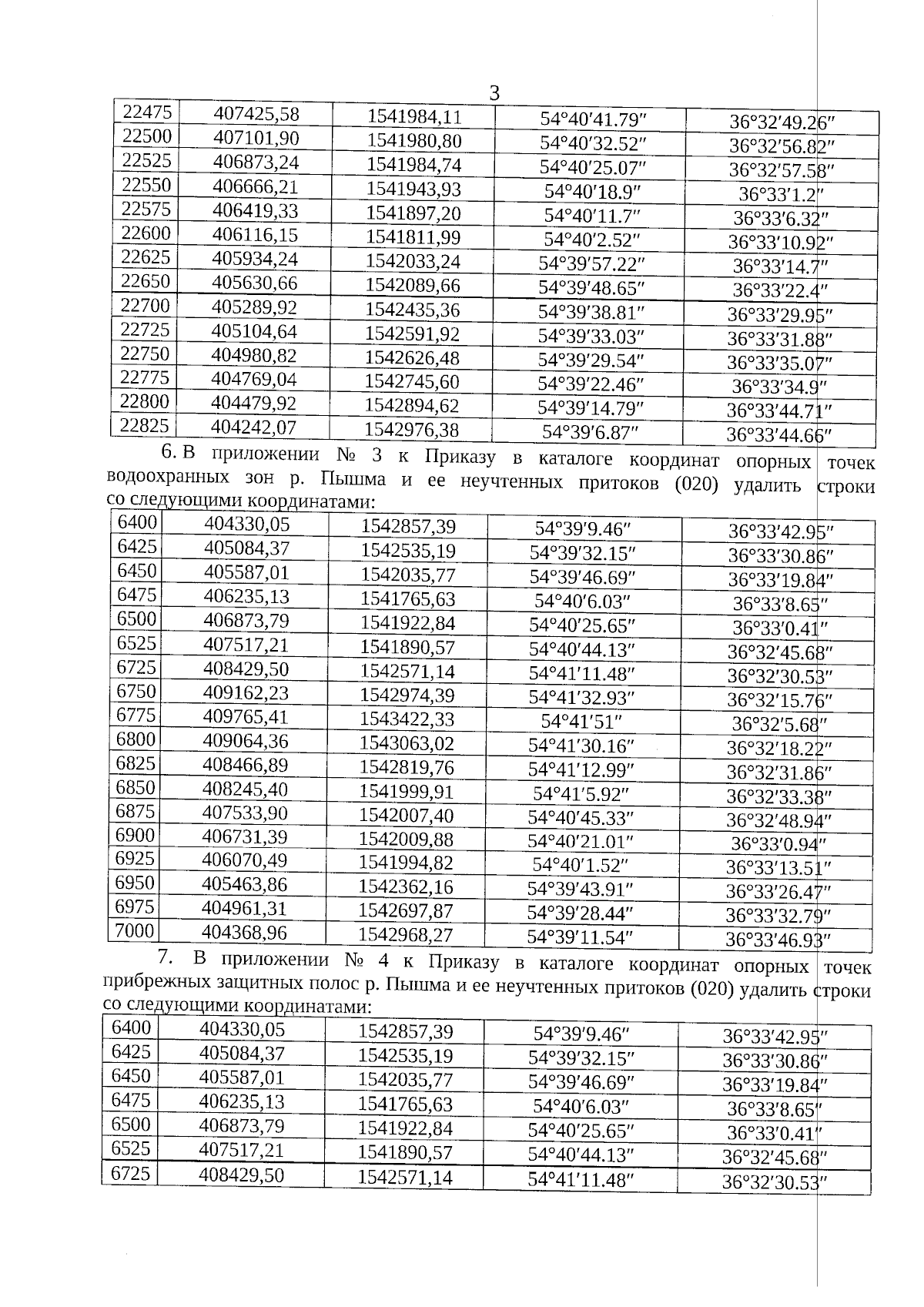
"Об уточнении границы береговой линии реки Крутиха, установлении границы водоохранной зоны и границы прибрежной защитной полосы реки Крутиха и о внесении изменений в приказ Министерства природных ресурсов и экологии Свердловской области от 30.10.2019 № 1779 "Об установлении границ водоохранных зон, прибрежных защитных полос и береговых линий водных объектов бассейна реки Пышма, расположенных на территории Свердловской области, в том числе перечень координат их опорных точек" с изменениями, внесенными приказом Министерства природных ресурсов и экологии Свердловской области от 14.09.2022 № 1076" и об отмене приказа Министерства природных ресурсов и экологии Свердловской области от 19.01.2024 № 52"
(Зарегистрирован 26.12.2024 № 2519)
Номер опубликования: 6601202412270014
Дата опубликования: 27.12.2024
Страница №3 из 121:
Увеличить