Официальное опубликование правовых актов
ОФИЦИАЛЬНОЕ ОПУБЛИКОВАНИЕ
Приказ Управления государственной охраны объектов культурного наследия Свердловской области от 25.11.2024 № 742
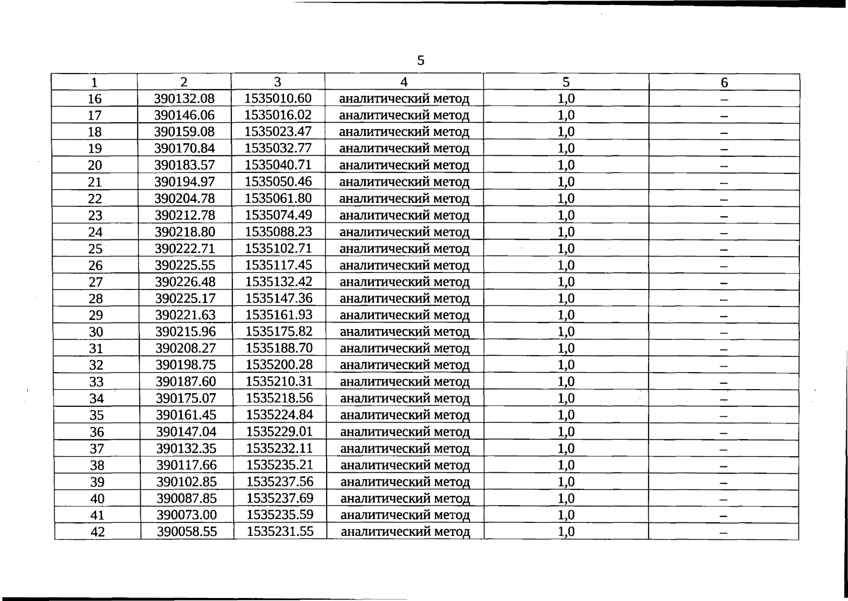
"Об утверждении графического описания местоположения границ защитной зоны объекта культурного наследия регионального значения "Дом Волкова А.А.", расположенного по адресу: Свердловская область, г. Екатеринбург, ул. Куйбышева, д. 99, с перечнем координат характерных точек этих границ в системе координат, установленной для ведения Единого государственного реестра недвижимости, и режима использования земель в границах данной защитной зоны"
(Зарегистрирован 25.11.2024 № 2327)
Номер опубликования: 6601202411260004
Дата опубликования: 26.11.2024
Страница №5 из 8:
Увеличить