Официальное опубликование правовых актов
ОФИЦИАЛЬНОЕ ОПУБЛИКОВАНИЕ
Приказ Управления государственной охраны объектов культурного наследия Свердловской области от 12.11.2024 № 708
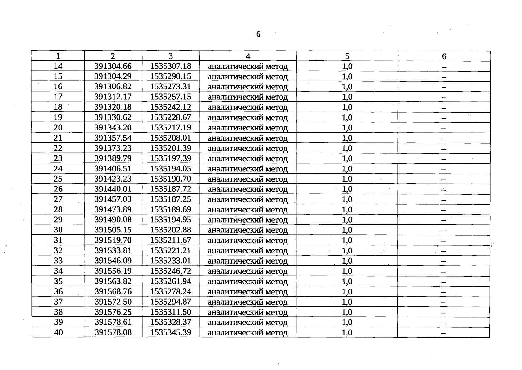
"Об утверждении графического описания местоположения границ защитной зоны объекта культурного наследия регионального значения "Здание химико-технологического факультета Уральского лесотехнического института, где в 1930–1967 гг. работал ученый лесохимик В.Н. Козлов", расположенного по адресу: Свердловская область, г. Екатеринбург, пр. Ленина, д. 79, с перечнем координат характерных точек этих границ в системе координат, установленной для ведения Единого государственного реестра недвижимости, и режима использования земель в границах данной защитной зоны"
(Зарегистрирован 14.11.2024 № 2285)
Номер опубликования: 6601202411140026
Дата опубликования: 14.11.2024
Страница №6 из 9:
Увеличить