Официальное опубликование правовых актов
ОФИЦИАЛЬНОЕ ОПУБЛИКОВАНИЕ
Приказ Управления государственной охраны объектов культурного наследия Свердловской области от 12.11.2024 № 712
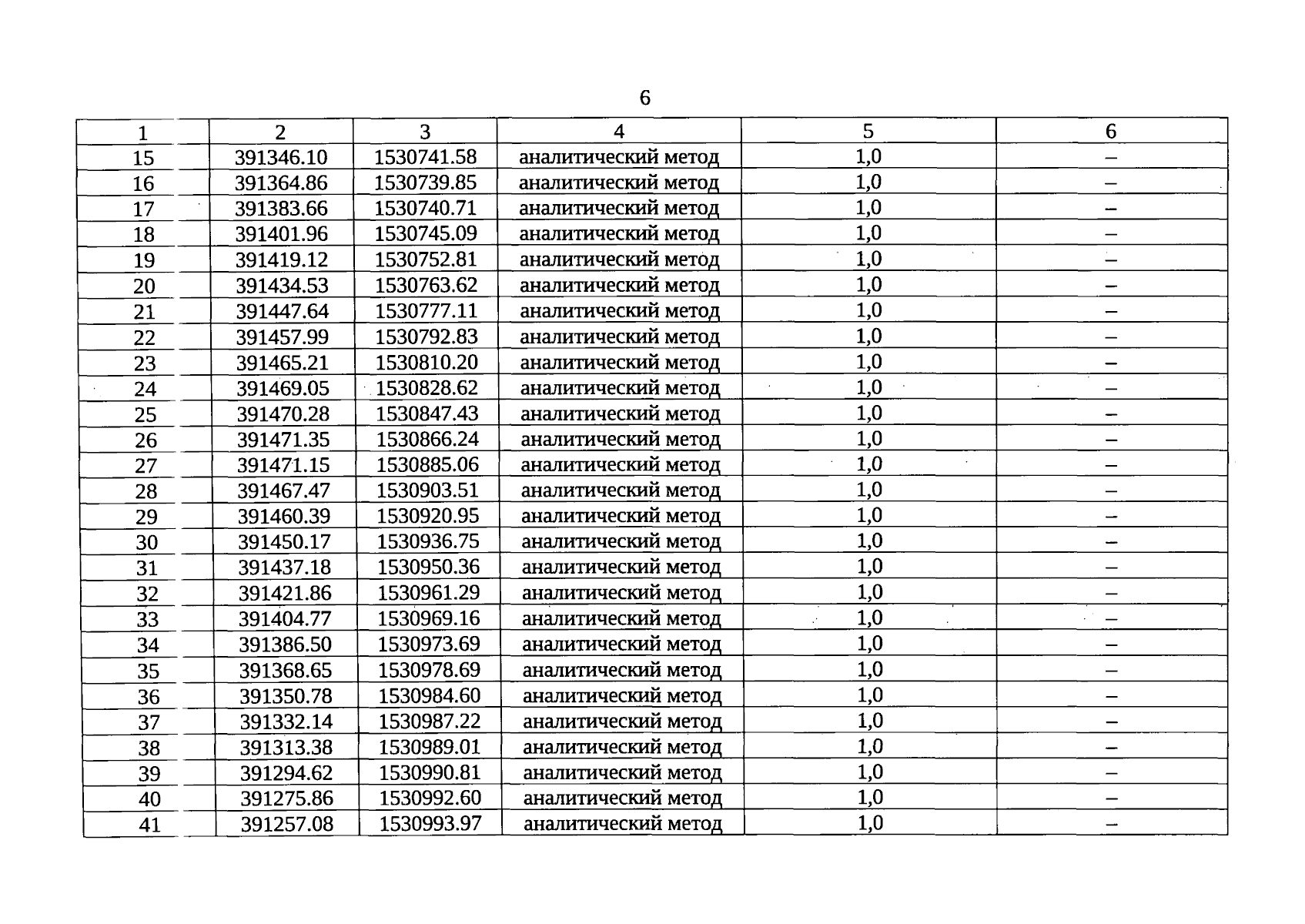
"Об утверждении графического описания местоположения границ защитной зоны объекта культурного наследия федерального значения "Здание заводоуправления Верх-Исетского завода", расположенного по адресу (местоположение): Свердловская область, г. Екатеринбург, на территории Верх-Исетского завода, с перечнем координат характерных точек этих границ в системе координат, установленной для ведения Единого государственного реестра недвижимости, и режима использования земель в границах данной защитной зоны"
(Зарегистрирован 14.11.2024 № 2289)
Номер опубликования: 6601202411140020
Дата опубликования: 14.11.2024
Страница №6 из 9:
Увеличить