Официальное опубликование правовых актов
ОФИЦИАЛЬНОЕ ОПУБЛИКОВАНИЕ
Приказ Министерства строительства и развития инфраструктуры Свердловской области от 31.10.2024 № 534-П
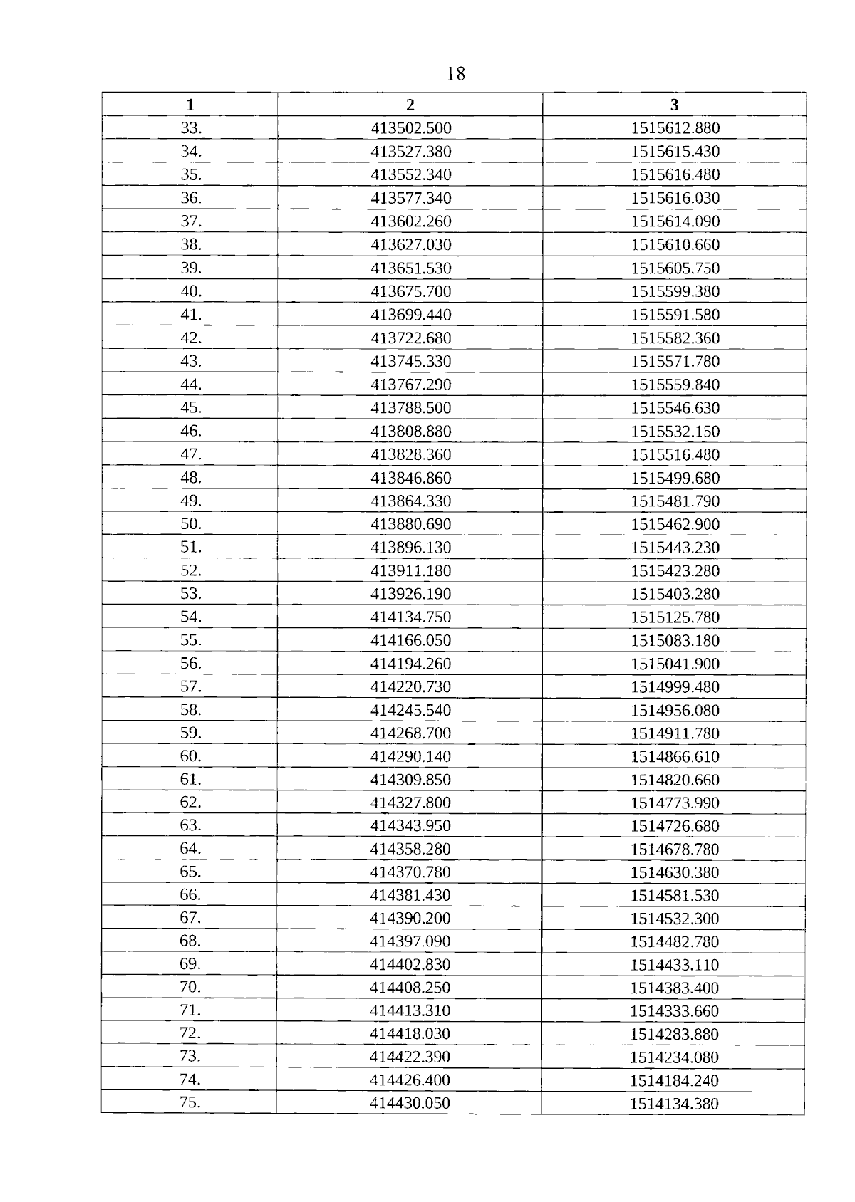
"Об утверждении основной части проекта планировки территории для размещения линейного объекта транспортной инфраструктуры регионального значения "Строительство автомобильной дороги п. Сагра – п. Аять на территориях городского округа Верхняя Пышма и Невьянского городского округа" и основной части проекта межевания территории для размещения линейного объекта транспортной инфраструктуры регионального значения "Строительство автомобильной дороги п. Сагра – п. Аять на территориях городского округа Верхняя Пышма и Невьянского городского округа"
(Зарегистрирован 05.11.2024 № 2254)
Номер опубликования: 6601202411070009
Дата опубликования: 07.11.2024
Страница №18 из 101:
Увеличить