Официальное опубликование правовых актов
ОФИЦИАЛЬНОЕ ОПУБЛИКОВАНИЕ
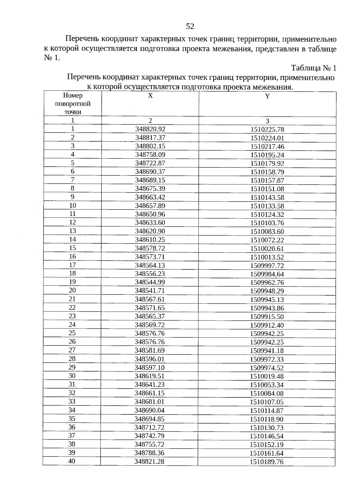
Приказ Министерства строительства и развития инфраструктуры Свердловской области от 14.10.2024 № 496-П
"Об утверждении основной части проекта планировки территории для размещения линейного объекта транспортной инфраструктуры регионального значения "Реконструкция автомобильной дороги г. Екатеринбург – г. Полевской (устройство тротуаров на участке км 51+600 – км 54+305 и искусственного освещения пешеходного перехода на км 52+446) на территории Полевского городского округа" и основной части проекта межевания территории для размещения линейного объекта транспортной инфраструктуры регионального значения "Реконструкция автомобильной дороги г. Екатеринбург – г. Полевской (устройство тротуаров на участке км 51+600 – км 54+305 и искусственного освещения пешеходного перехода на км 52+446) на территории Полевского городского округа"
(Зарегистрирован 21.10.2024 № 2179)
Номер опубликования: 6601202410210003
Дата опубликования: 21.10.2024
Страница №52 из 72:
Увеличить