Официальное опубликование правовых актов
ОФИЦИАЛЬНОЕ ОПУБЛИКОВАНИЕ
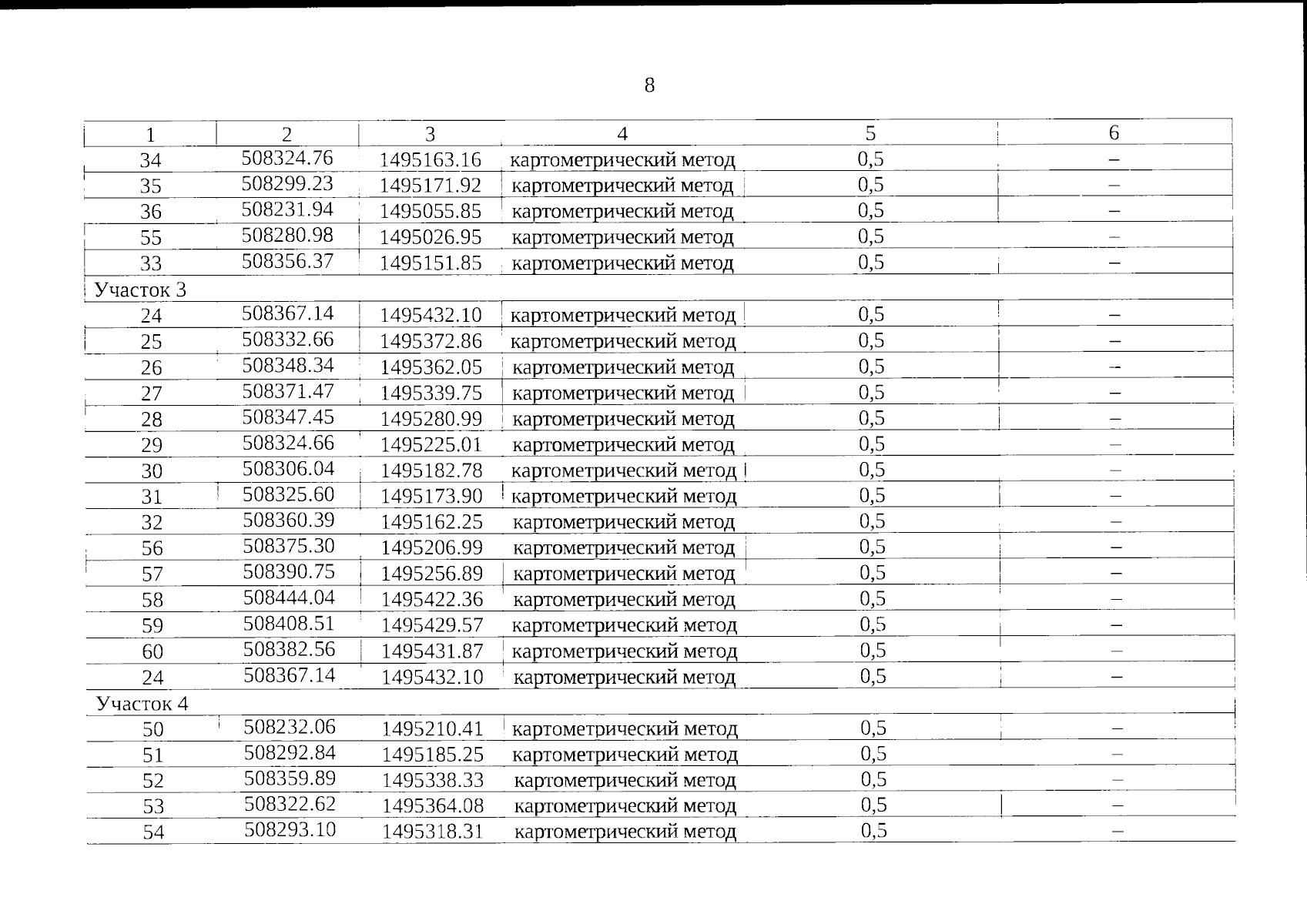
Приказ Управления государственной охраны объектов культурного наследия Свердловской области от 08.10.2024 № 636
"Об установлении зон охраны объекта культурного наследия регионального значения "Александро-Невская церковь на Гальянке", расположенного по адресу: Свердловская область, г. Нижний Тагил, ул. Совхозная, д. 5, и утверждении требований к градостроительным регламентам в границах данных зон"
(Зарегистрирован 11.10.2024 № 2149)
Номер опубликования: 6601202410110010
Дата опубликования: 11.10.2024
Страница №8 из 23:
Увеличить