Официальное опубликование правовых актов
ОФИЦИАЛЬНОЕ ОПУБЛИКОВАНИЕ
Приказ Управления государственной охраны объектов культурного наследия Свердловской области от 05.08.2024 № 494
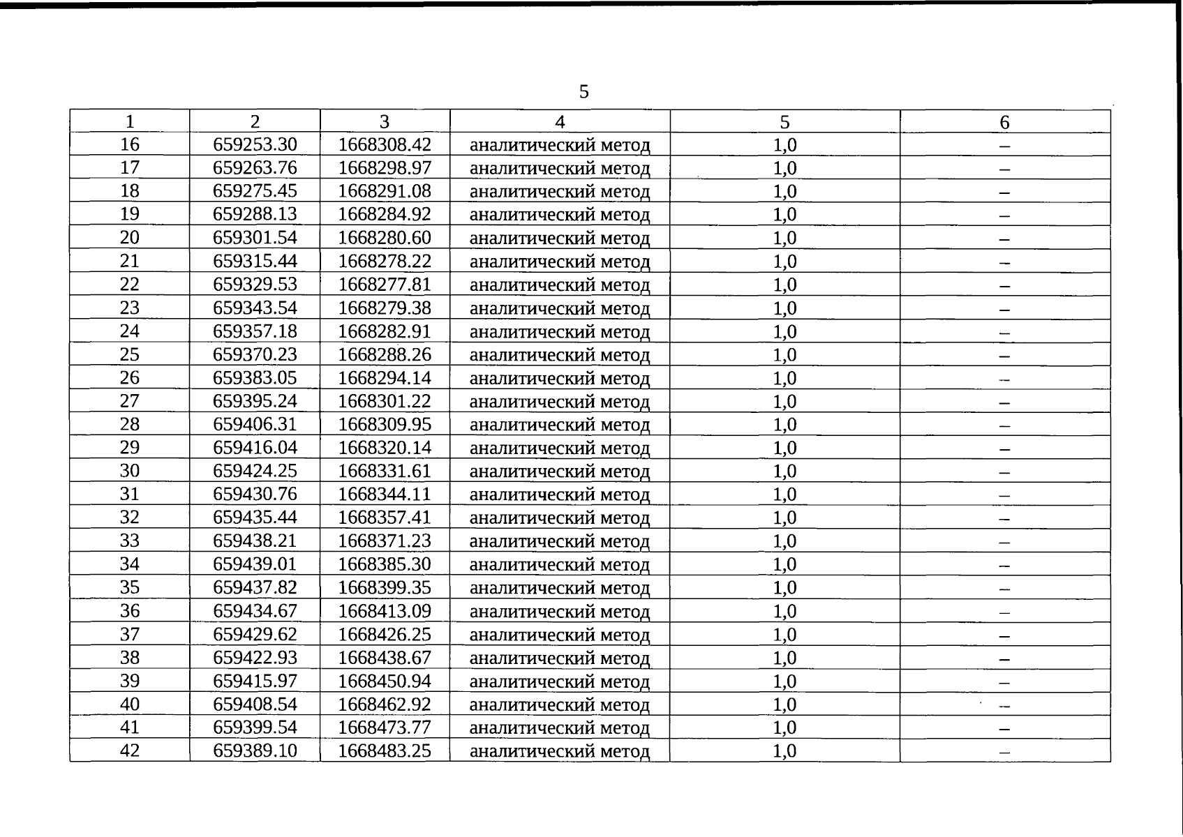
"Об утверждении графического описания местоположения границ защитной зоны объекта культурного наследия регионального значения "Участковая больница", расположенного по адресу (местоположение): Свердловская область, Гаринский район, с. Андрюшино, с перечнем координат характерных точек этих границ в системе координат, установленной для ведения Единого государственного реестра недвижимости, и режима использования земель в границах данной защитной зоны"
(Зарегистрирован 07.08.2024 № 1939)
Номер опубликования: 6601202408080005
Дата опубликования: 08.08.2024
Страница №5 из 8:
Увеличить