Официальное опубликование правовых актов
ОФИЦИАЛЬНОЕ ОПУБЛИКОВАНИЕ
Приказ Управления государственной охраны объектов культурного наследия Свердловской области от 05.08.2024 № 495
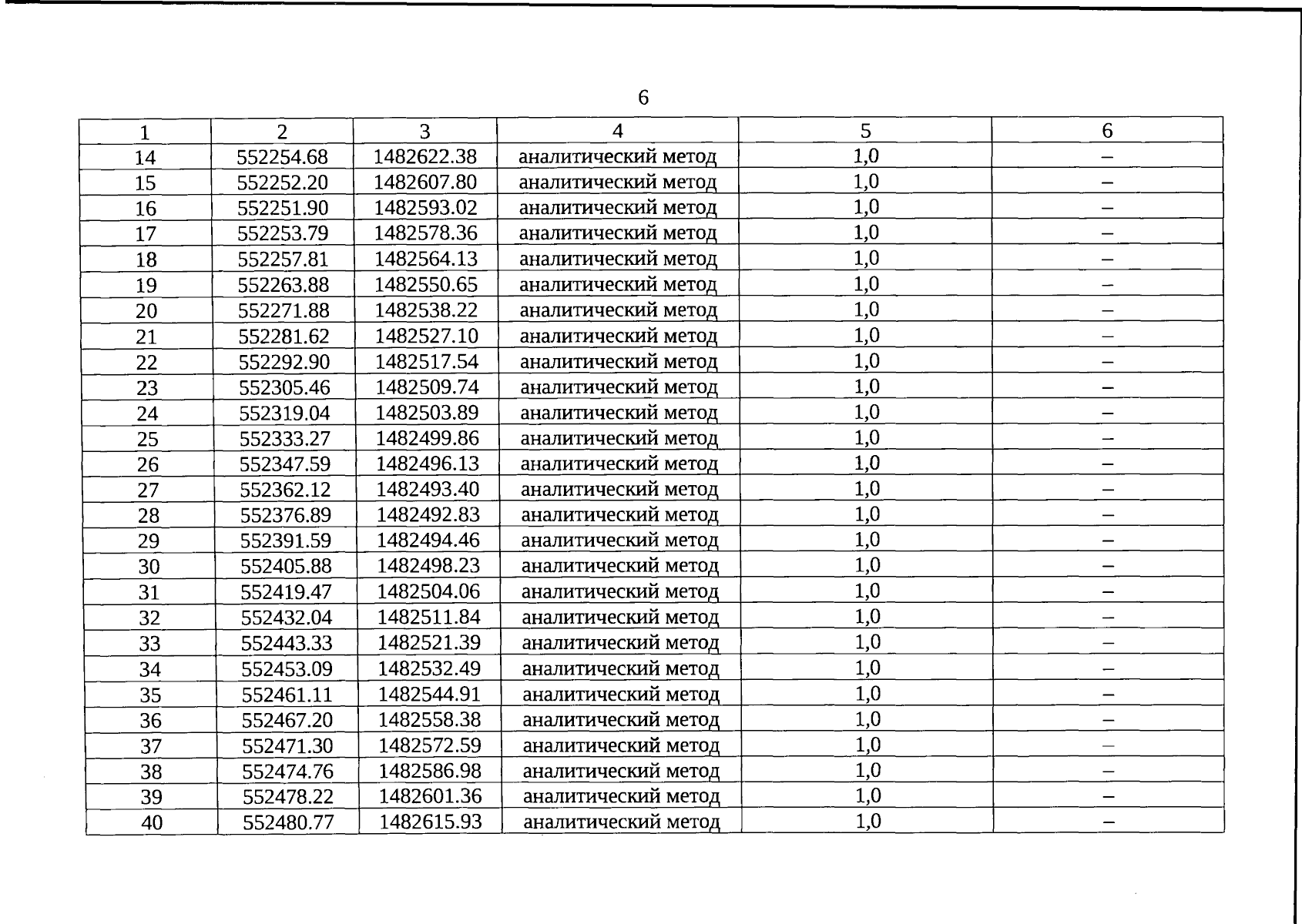
"Об утверждении графического описания местоположения границ защитной зоны объекта культурного наследия регионального значения "Дом бывшего управителя Кушвинского чугунолитейного завода, где в 1848–1852 годах жил инженер металлург П.М. Обухов", расположенного по адресу: Свердловская область, г. Кушва, ул. Первомайская, д. 36, с перечнем координат характерных точек этих границ в системе координат, установленной для ведения Единого государственного реестра недвижимости, и режима использования земель в границах данной защитной зоны"
(Зарегистрирован 07.08.2024 № 1940)
Номер опубликования: 6601202408080004
Дата опубликования: 08.08.2024
Страница №6 из 9:
Увеличить