Официальное опубликование правовых актов
ОФИЦИАЛЬНОЕ ОПУБЛИКОВАНИЕ
Приказ Управления государственной охраны объектов культурного наследия Свердловской области от 26.07.2024 № 469
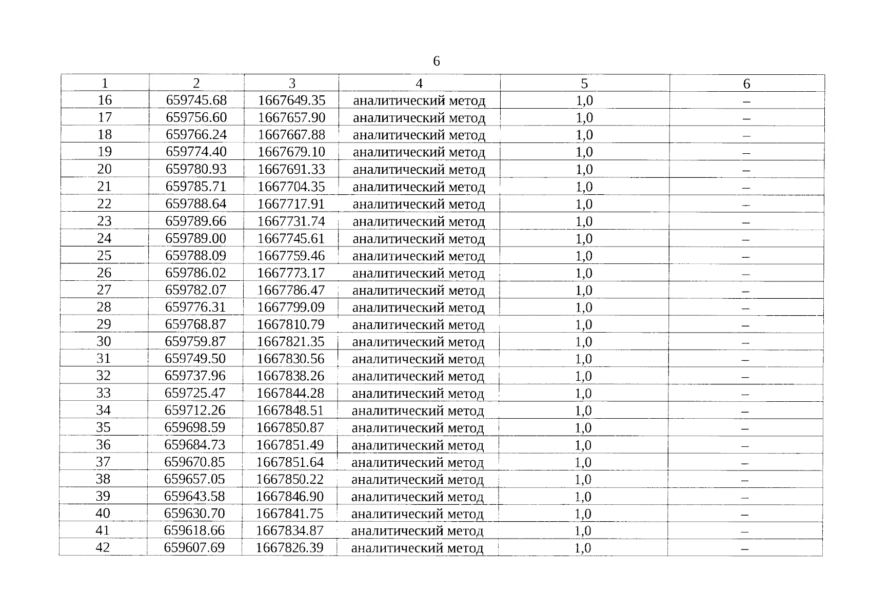
"Об утверждении графического описания местоположения границ защитной зоны объекта культурного наследия регионального значения "Церковь", расположенного по адресу: Свердловская область, Гаринский район, с. Андрюшино, ул. Советская, д. 18а, с перечнем координат характерных точек этих границ в системе координат, установленной для ведения Единого государственного реестра недвижимости, и режима использования земель в границах данной защитной зоны"
(Зарегистрирован 29.07.2024 № 1877)
Номер опубликования: 6601202407310006
Дата опубликования: 31.07.2024
Страница №6 из 9:
Увеличить