Официальное опубликование правовых актов
ОФИЦИАЛЬНОЕ ОПУБЛИКОВАНИЕ
Приказ Управления государственной охраны объектов культурного наследия Свердловской области от 19.07.2024 № 458
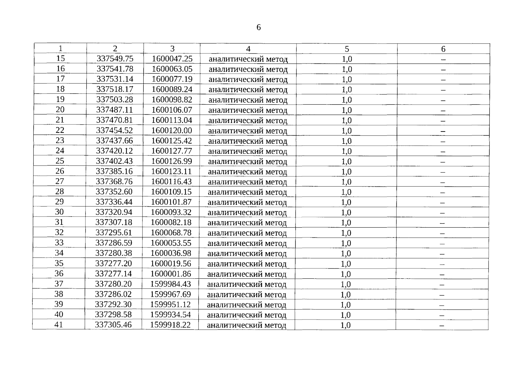
"Об утверждении графического описания местоположения границ защитной зоны объекта культурного наследия регионального значения "Церковь Тихвинская", расположенного по адресу: Свердловская область, Каменский район, с. Рыбниковское, ул. Советская, д. 61А, с перечнем координат характерных точек этих границ в системе координат, установленной для ведения Единого государственного реестра недвижимости, и режима использования земель в границах данной защитной зоны"
(Зарегистрирован 22.07.2024 № 1853)
Номер опубликования: 6601202407230007
Дата опубликования: 23.07.2024
Страница №6 из 9:
Увеличить