Официальное опубликование правовых актов
ОФИЦИАЛЬНОЕ ОПУБЛИКОВАНИЕ
Приказ Управления государственной охраны объектов культурного наследия Свердловской области от 18.07.2024 № 454
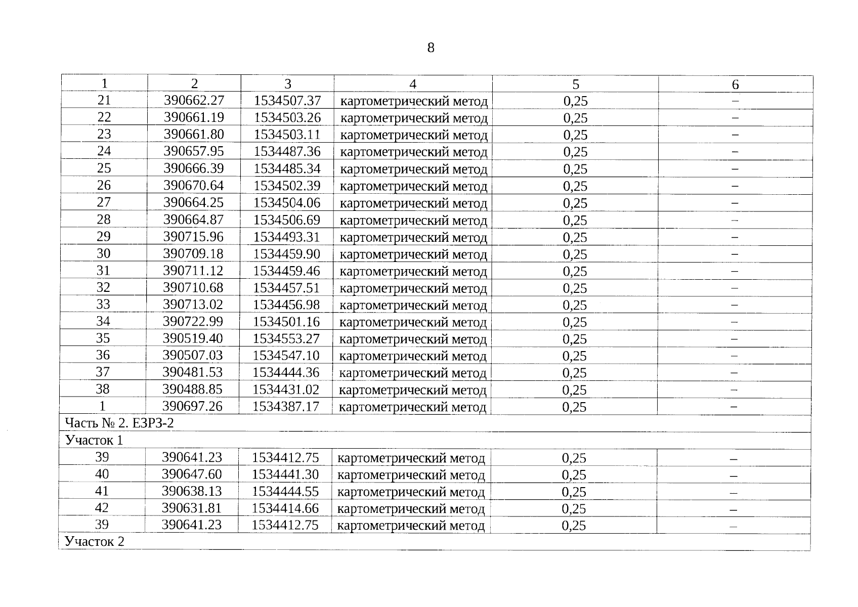
"Об установлении объединенной зоны охраны объектов культурного наследия регионального значения "Гостиница "Центральная", "Усадьба Г.И. Елизарьева" и входящих в его состав объектов культурного наследия регионального значения "Дом с мезонином" и "Флигель", "Дом жилой (Товарищество "Уральский старожил")", "Дом Левитских", "Дом купца С.И. Лопатина", "Дом купца П.П. Суслова", "Особняк В.А. Бибикова" и "Дом купца Н.Г. Бабикова" и входящего в его состав объекта культурного наследия регионального значения "Флигель" и утверждении требований к градостроительным регламентам в границах данной зоны"
(Зарегистрирован 19.07.2024 № 1843)
Номер опубликования: 6601202407190005
Дата опубликования: 19.07.2024
Страница №8 из 21:
Увеличить