Официальное опубликование правовых актов
ОФИЦИАЛЬНОЕ ОПУБЛИКОВАНИЕ
Приказ Министерства строительства и развития инфраструктуры Свердловской области от 10.07.2024 № 325-П
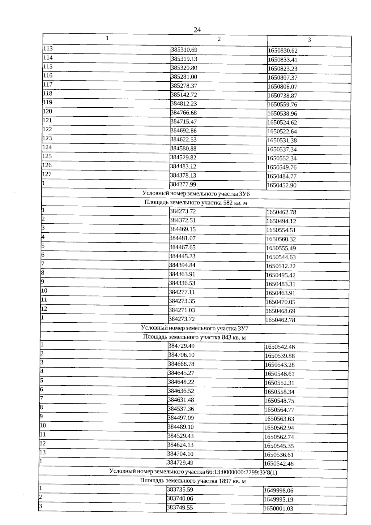
"О внесении изменений в документацию по планировке территории, утвержденную приказом Министерства строительства и развития инфраструктуры Свердловской области от 24.11.2022
№ 543-П, в части проекта межевания территории для размещения линейного объекта транспортной инфраструктуры регионального значения "Реконструкция автомобильной дороги с. Володинское – д. Борисова – а/д "Екатеринбург – Тюмень" на территории Камышловского муниципального района"
(Зарегистрирован 16.07.2024 № 1834)
Номер опубликования: 6601202407180006
Дата опубликования: 18.07.2024
Страница №24 из 36:
Увеличить