Официальное опубликование правовых актов
ОФИЦИАЛЬНОЕ ОПУБЛИКОВАНИЕ
Приказ Министерства строительства и развития инфраструктуры Свердловской области от 28.06.2024 № 309-П
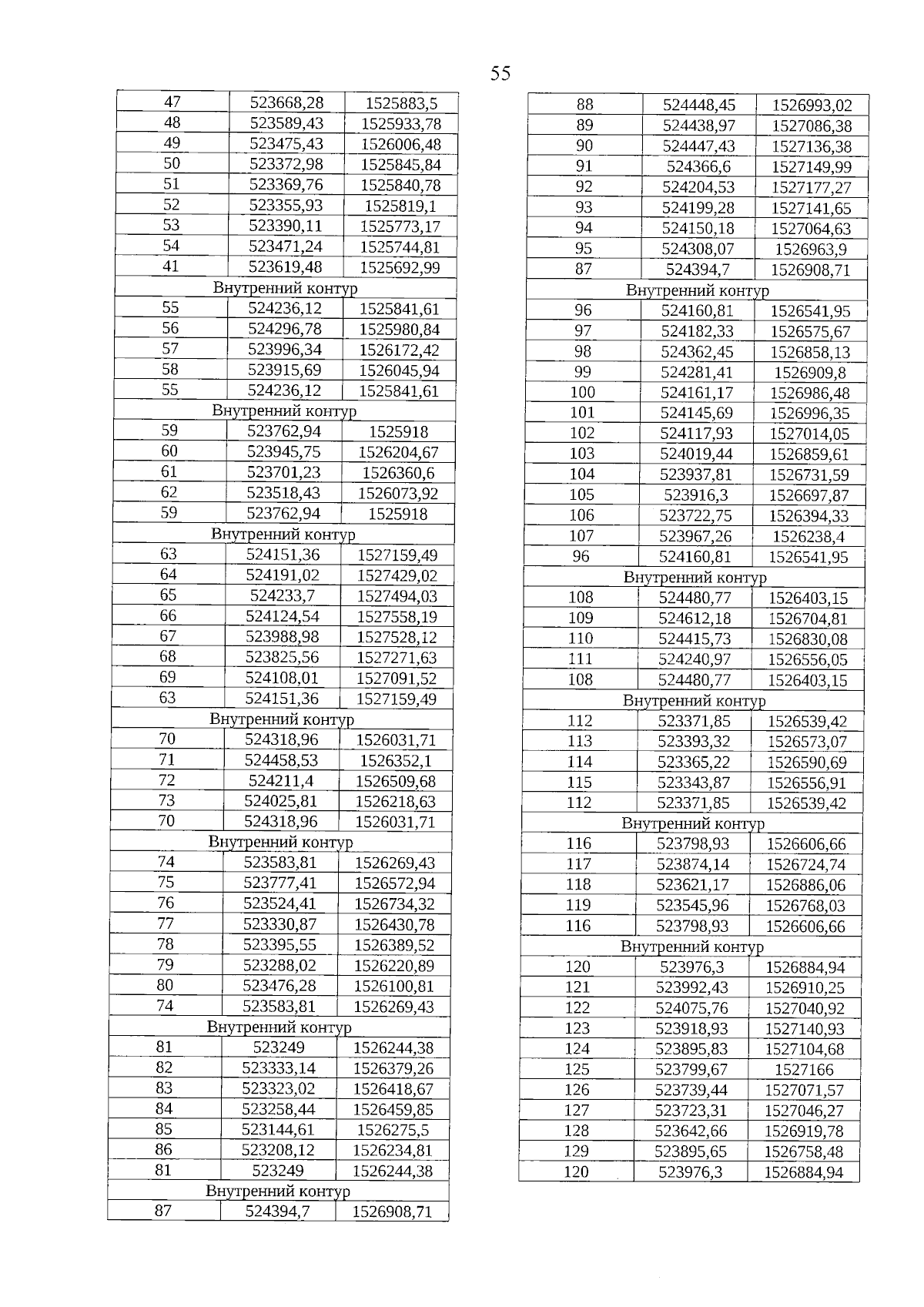
"О внесении изменений в документацию по планировке территории особой экономической зоны промышленно-производственного типа "Титановая долина" на территории Верхнесалдинского городского округа Свердловской области 1 очереди строительства"
(Зарегистрирован 03.07.2024 № 1800)
Номер опубликования: 6601202407030011
Дата опубликования: 03.07.2024
Страница №55 из 65:
Увеличить