Официальное опубликование правовых актов
ОФИЦИАЛЬНОЕ ОПУБЛИКОВАНИЕ
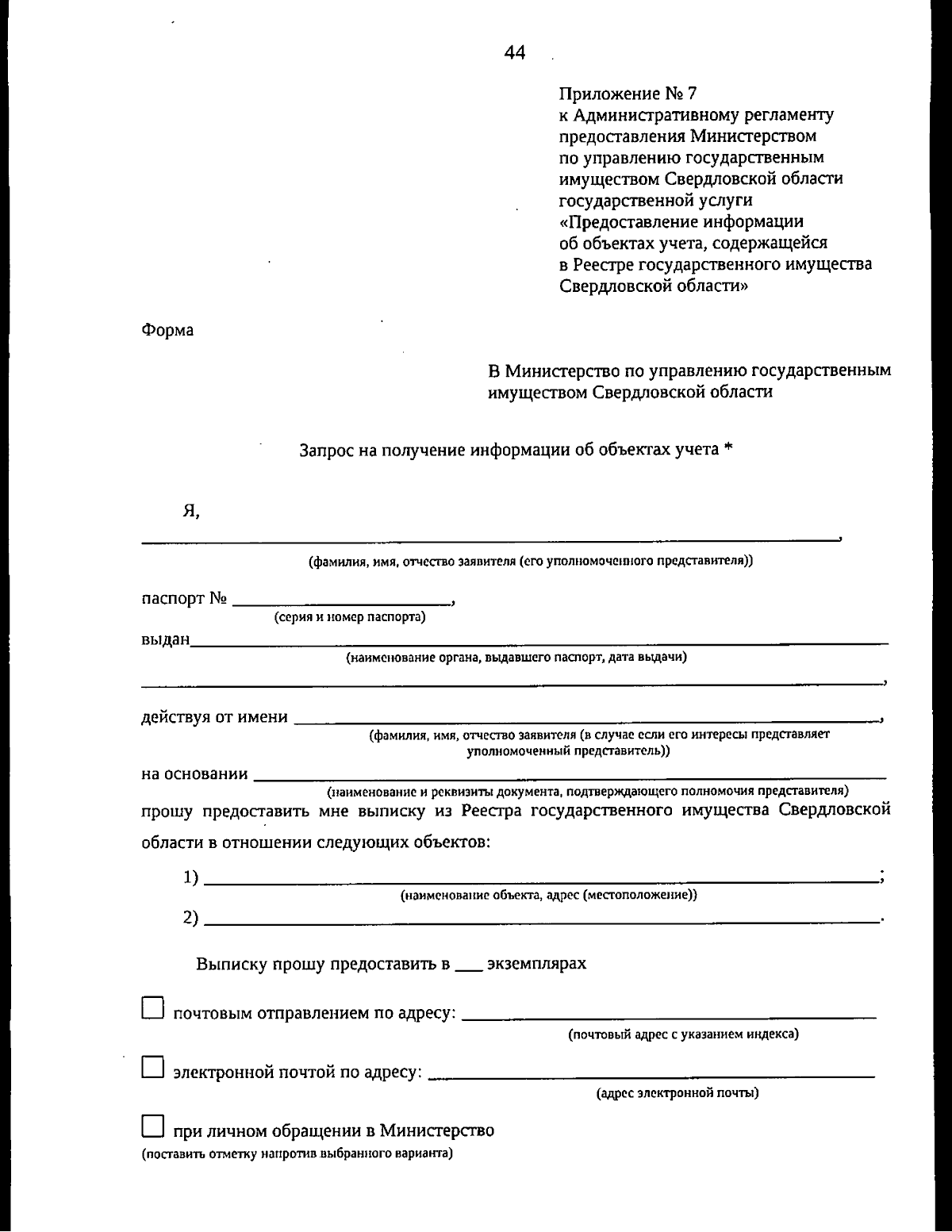
Приказ Министерства по управлению государственным имуществом Свердловской области от 24.06.2024 № 4517
"Об утверждении Административного регламента предоставления Министерством по управлению государственным имуществом Свердловской области государственной услуги "Предоставление информации об объектах учета, содержащейся в Реестре государственного имущества Свердловской области"
(Зарегистрирован 26.06.2024 № 1777)
Номер опубликования: 6601202406270002
Дата опубликования: 27.06.2024
Страница №44 из 49:
Увеличить