Официальное опубликование правовых актов
ОФИЦИАЛЬНОЕ ОПУБЛИКОВАНИЕ
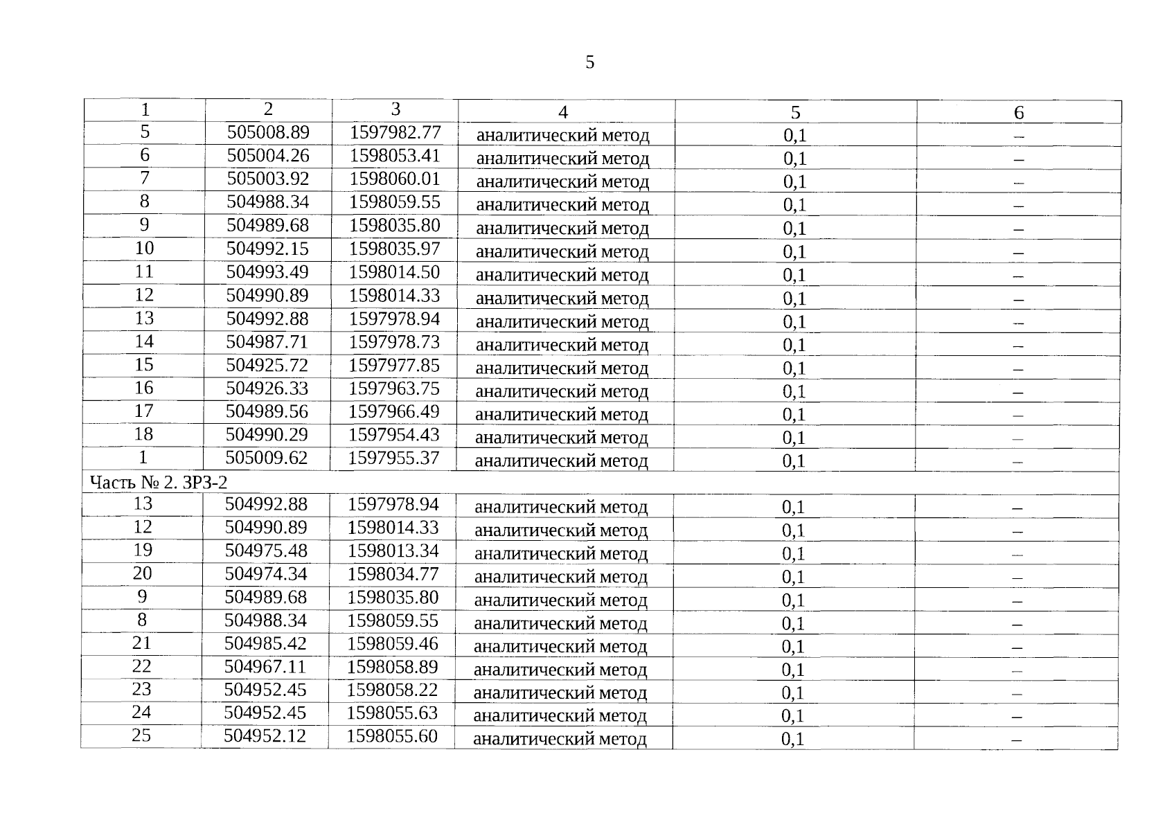
Приказ Управления государственной охраны объектов культурного наследия Свердловской области от 24.06.2024 № 397
"Об установлении зон охраны объекта культурного наследия регионального значения "Деревянный дом", расположенного по адресу: Свердловская область, г. Алапаевск, ул. Смольниковых, д. 43, и утверждении требований к градостроительным регламентам в границах данных зон"
(Зарегистрирован 25.06.2024 № 1758)
Номер опубликования: 6601202406260003
Дата опубликования: 26.06.2024
Страница №5 из 12:
Увеличить