Официальное опубликование правовых актов
ОФИЦИАЛЬНОЕ ОПУБЛИКОВАНИЕ
Приказ Управления государственной охраны объектов культурного наследия Свердловской области от 18.06.2024 № 381
"О внесении изменений в приказ Управления государственной охраны объектов культурного наследия Свердловской области от 18.03.2020 № 175 "Об установлении зон охраны объекта культурного наследия федерального значения "Здание Управления Свердловской железной дороги", расположенного по адресу: Свердловская область, г. Екатеринбург, ул. Челюскинцев, д. 11, и утверждении требований к градостроительным регламентам в границах данных зон"
(Зарегистрирован 19.06.2024 № 1746)
Номер опубликования: 6601202406200003
Дата опубликования: 20.06.2024
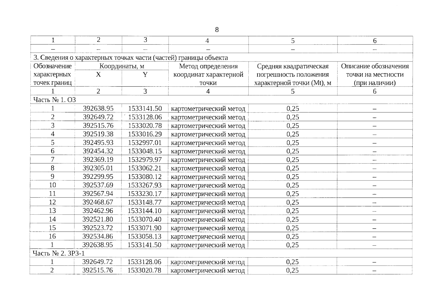
Страница №8 из 16:
Увеличить