Официальное опубликование правовых актов
ОФИЦИАЛЬНОЕ ОПУБЛИКОВАНИЕ
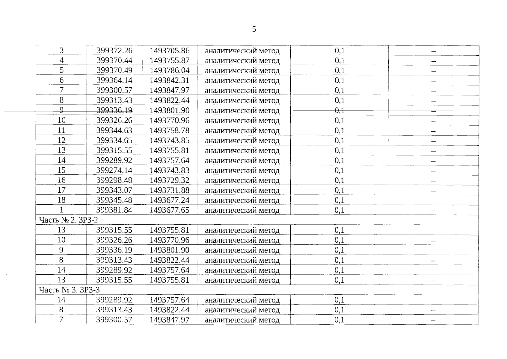
Приказ Управления государственной охраны объектов культурного наследия Свердловской области от 08.04.2024 № 214
"Об установлении зон охраны объекта культурного наследия регионального значения "Городская усадьба", расположенного по адресу: Свердловская область, г. Первоуральск, ул. Ленина, д. 65, и утверждении требований к градостроительным регламентам в границах данных зон"
(Зарегистрирован 09.04.2024 № 1528)
Номер опубликования: 6601202404090006
Дата опубликования: 09.04.2024
Страница №5 из 11:
Увеличить