Официальное опубликование правовых актов
ОФИЦИАЛЬНОЕ ОПУБЛИКОВАНИЕ
Приказ Министерства строительства и развития инфраструктуры Свердловской области от 18.12.2023 № 724-П
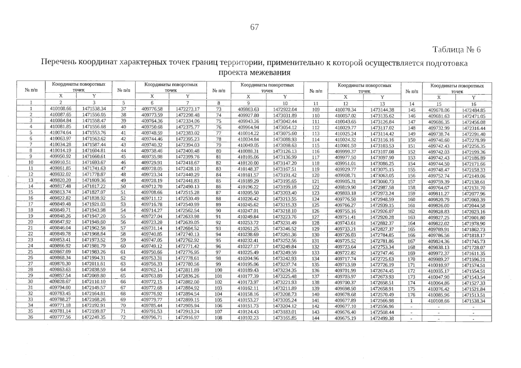
"Об утверждении основной части проекта планировки территории для размещения линейного объекта транспортной инфраструктуры регионального значения "Реконструкция автомобильной дороги "Подъезд к д/о "Шишимский" от км 33+489 а/д "г. Первоуральск – р.п. Шаля" (устройство искусственного освещения на участке км 1+850 – км 4+000 и устройство тротуара на участках км 2+350 – км 3+050, км 3+400 – км 4+000) на территории городского округа Первоуральск" и основной части проекта межевания территории для размещения линейного объекта транспортной инфраструктуры регионального значения "Реконструкция автомобильной дороги "Подъезд к д/о "Шишимский" от км 33+489 а/д "г. Первоуральск – р.п. Шаля" (устройство искусственного освещения на участке км 1+850 – км 4+000 и устройство тротуара на участках км 2+350 – км 3+050, км 3+400 – км 4+000) на территории городского округа Первоуральск"
(Зарегистрирован 26.12.2023 № 1111)
Номер опубликования: 6601202312270014
Дата опубликования: 27.12.2023
Страница №67 из 75:
Увеличить