Официальное опубликование правовых актов
ОФИЦИАЛЬНОЕ ОПУБЛИКОВАНИЕ
Приказ Управления государственной охраны объектов культурного наследия Свердловской области от 23.10.2023 № 650
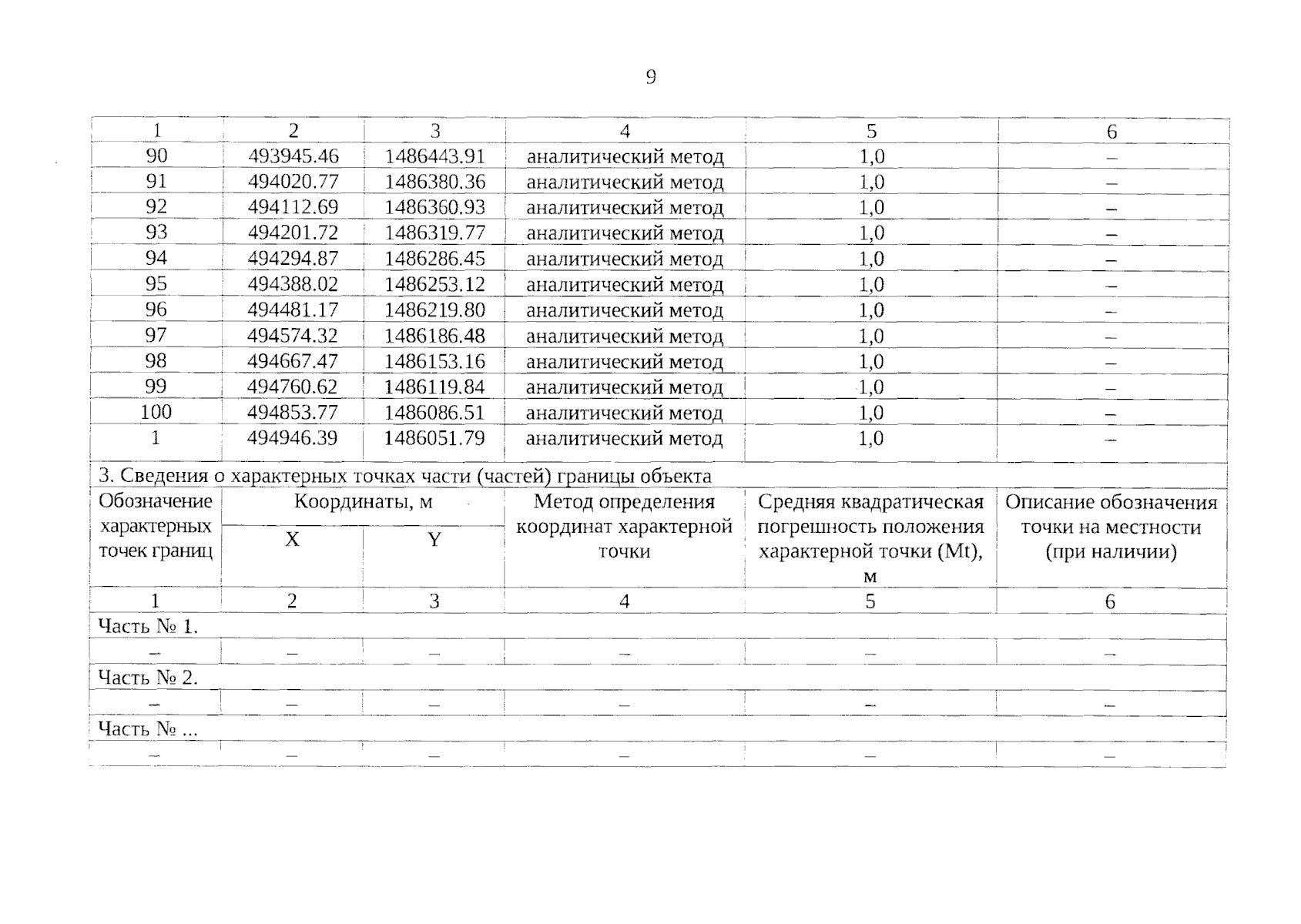
"Об утверждении графического описания местоположения границ защитной зоны объекта культурного наследия федерального значения "Ушковский канал" – замечательное гидротехническое сооружение середины XIX в.", расположенного по адресу (местоположение): Свердловская область, Горноуральский городской округ, г. Нижний Тагил, поселок Черноисточинск, с перечнем координат характерных точек этих границ в системе координат, установленной для ведения Единого государственного реестра недвижимости, и режима использования земель в границах данной защитной зоны"
(Зарегистрирован 25.10.2023 № 794)
Номер опубликования: 6601202310250001
Дата опубликования: 25.10.2023
Страница №9 из 11:
Увеличить