Приказ Министерства по управлению государственным имуществом Свердловской области от 17.10.2023 № 5957
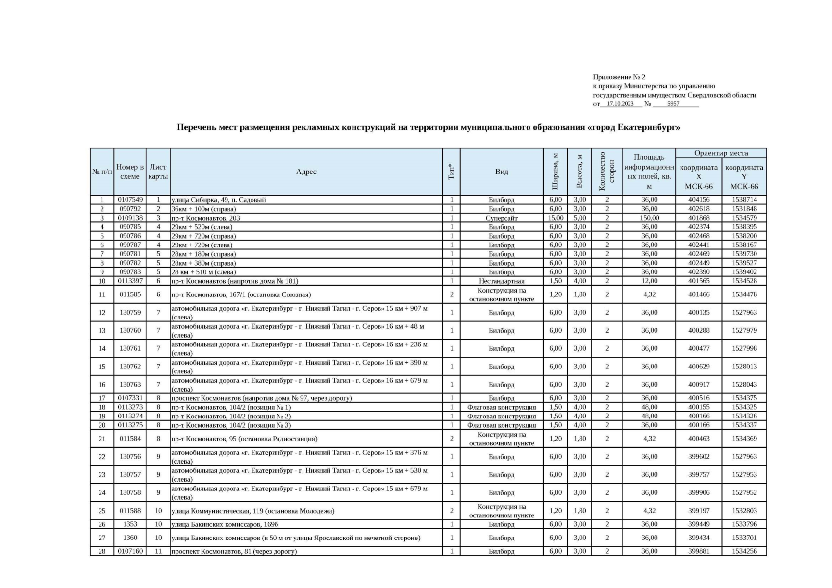
"О внесении изменений в схему размещения рекламных конструкций на территории муниципального образования "город Екатеринбург", утвержденную приказом Министерства по управлению государственным имуществом Свердловской области от 29.07.2016 № 1684"
(Зарегистрирован 19.10.2023 № 781)
"О внесении изменений в схему размещения рекламных конструкций на территории муниципального образования "город Екатеринбург", утвержденную приказом Министерства по управлению государственным имуществом Свердловской области от 29.07.2016 № 1684"
(Зарегистрирован 19.10.2023 № 781)
Номер опубликования: 6601202310190004
Дата опубликования:
19.10.2023
