Приказ Управления государственной охраны объектов культурного наследия Свердловской области от 10.10.2023 № 627
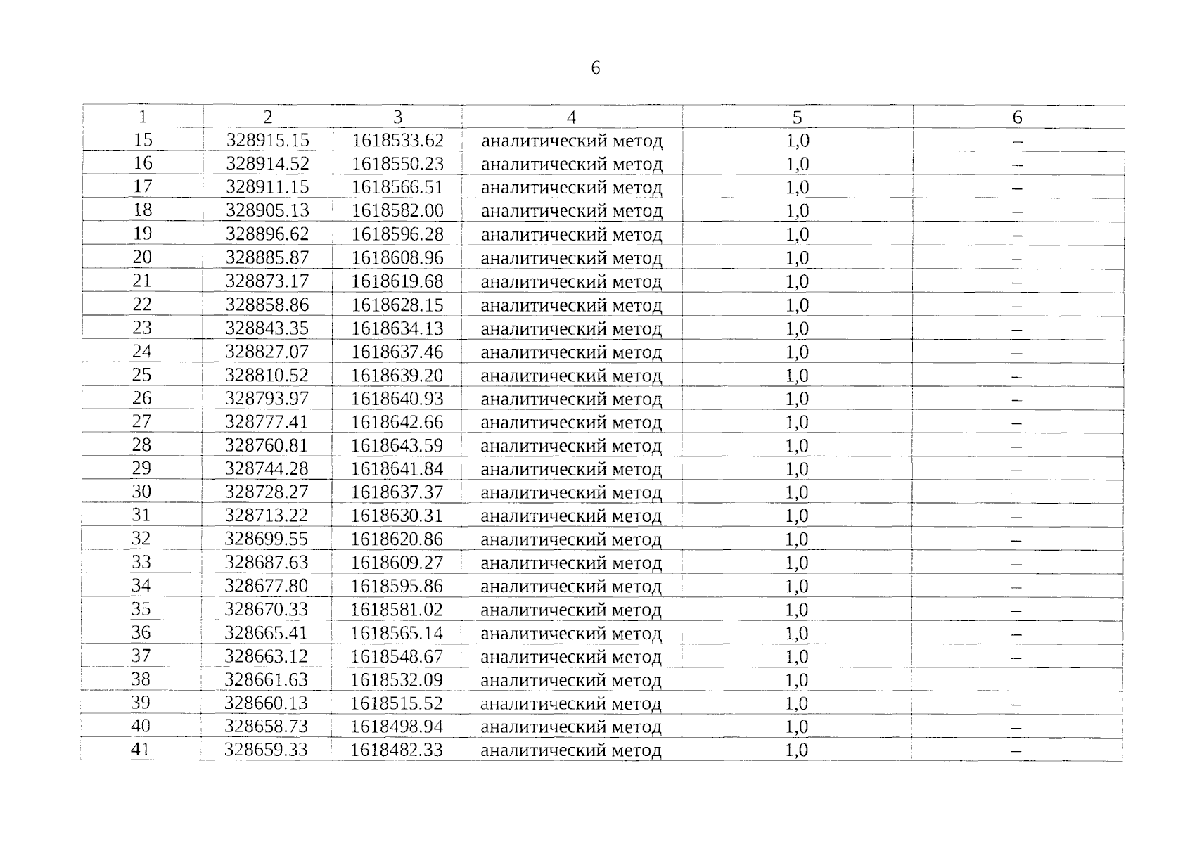
"Об утверждении графического описания местоположения границ защитной зоны объекта культурного наследия регионального значения "Церковь Флора и Лавра", расположенного по адресу: Свердловская область, Каменский район, с. Пирогово, ул. Ленина, д. 28А, с перечнем координат характерных точек этих границ в системе координат, установленной для ведения Единого государственного реестра недвижимости, и режима использования земель в границах данной защитной зоны"
(Зарегистрирован 11.10.2023 № 751)
"Об утверждении графического описания местоположения границ защитной зоны объекта культурного наследия регионального значения "Церковь Флора и Лавра", расположенного по адресу: Свердловская область, Каменский район, с. Пирогово, ул. Ленина, д. 28А, с перечнем координат характерных точек этих границ в системе координат, установленной для ведения Единого государственного реестра недвижимости, и режима использования земель в границах данной защитной зоны"
(Зарегистрирован 11.10.2023 № 751)
Номер опубликования: 6601202310120008
Дата опубликования:
12.10.2023
