Официальное опубликование правовых актов
ОФИЦИАЛЬНОЕ ОПУБЛИКОВАНИЕ
Приказ Территориального отраслевого исполнительного органа государственной власти Свердловской области - Управления социальной политики Министерства социальной политики Свердловской области № 27 от 05.10.2023 № 66-Д
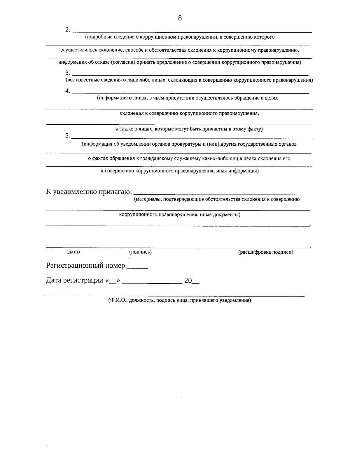
"Об утверждении Порядка уведомления представителя нанимателя о фактах обращения в целях склонения к совершению коррупционных правонарушений государственных гражданских служащих Свердловской области, замещающих должности государственной гражданской службы Свердловской области в территориальном отраслевом исполнительном органе государственной власти Свердловской области Управлении социальной политики Министерства социальной политики Свердловской области № 27"
(Зарегистрирован 10.10.2023 № 747)
Номер опубликования: 6601202310110002
Дата опубликования: 11.10.2023
Страница №8 из 9:
Увеличить