Официальное опубликование правовых актов
ОФИЦИАЛЬНОЕ ОПУБЛИКОВАНИЕ
Приказ Территориального отраслевого исполнительного органа государственной власти Свердловской области - Управления социальной политики Министерства социальной политики Свердловской области № 27 от 05.10.2023 № 65-Д
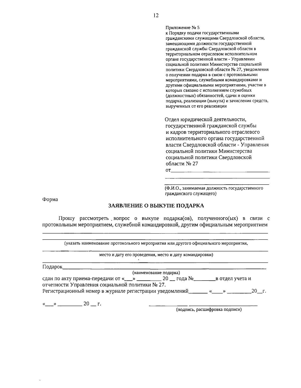
"Об утверждении Порядка подачи государственными гражданскими служащими Свердловской области, замещающими должности государственной гражданской службы Свердловской области в территориальном отраслевом исполнительном органе государственной власти Свердловской области - Управлении социальной политики Министерства социальной политики Свердловской области № 27, уведомления о получении подарка в связи с протокольными мероприятиями, служебными командировками и другими официальными мероприятиями, участие в которых связано с исполнением служебных (должностных) обязанностей, сдачи и оценки подарка, реализации (выкупа) и зачисления средств, вырученных от его реализации"
(Зарегистрирован 10.10.2023 № 742)
Номер опубликования: 6601202310100006
Дата опубликования: 10.10.2023
Страница №12 из 12:
Увеличить