Официальное опубликование правовых актов
ОФИЦИАЛЬНОЕ ОПУБЛИКОВАНИЕ
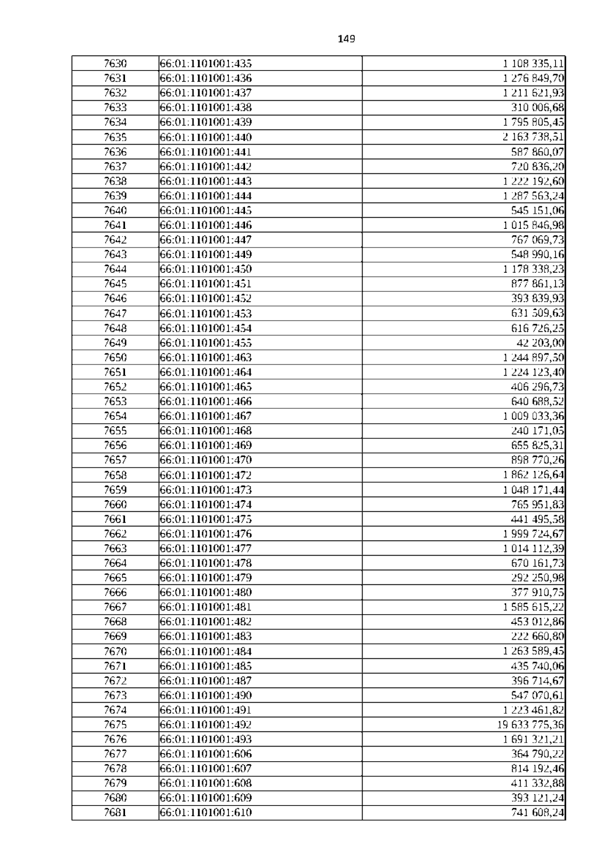
Приказ Министерства по управлению государственным имуществом Свердловской области от 22.08.2023 № 4800
"Об утверждении результатов определения кадастровой стоимости объектов недвижимости, расположенных на территории Свердловской области: зданий, помещений, сооружений, объектов незавершенного строительства, машино-мест"
(Зарегистрирован 29.08.2023 № 603)
Номер опубликования: 6601202309080001
Дата опубликования: 08.09.2023
Страница №149 из 66460:
Увеличить