Официальное опубликование правовых актов
ОФИЦИАЛЬНОЕ ОПУБЛИКОВАНИЕ
Приказ Управления государственной охраны объектов культурного наследия Свердловской области от 31.08.2023 № 534
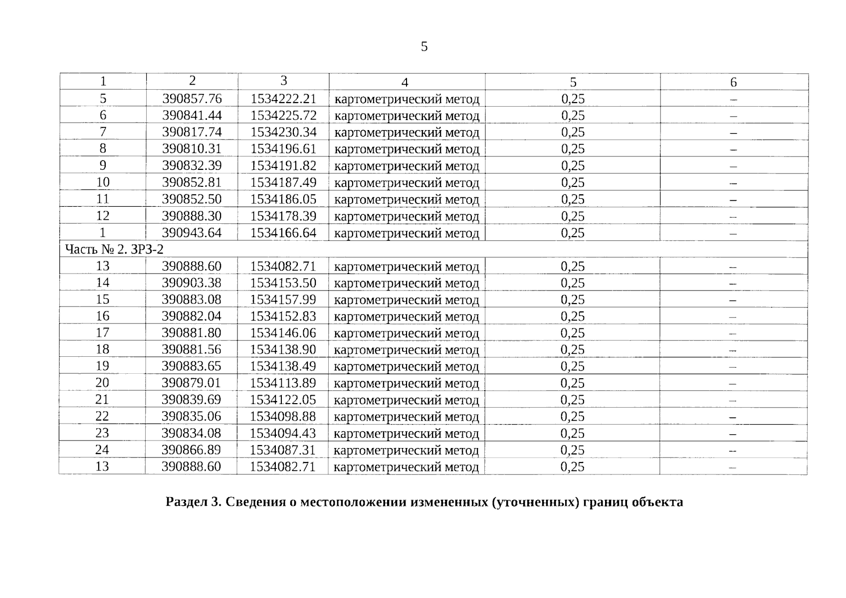
"Об установлении зон охраны объекта культурного наследия регионального значения "Гостиница "Эрмитаж" В.Г. Черепанова" и входящих в его состав объектов культурного наследия регионального значения "Гостиница", "Флигель", "Конюшня" и "Баня", расположенных по адресу: Свердловская область, г. Екатеринбург, ул. Пушкина, д. 7, и утверждении требований к градостроительным регламентам в границах данных зон"
(Зарегистрирован 04.09.2023 № 616)
Номер опубликования: 6601202309040006
Дата опубликования: 04.09.2023
Страница №5 из 10:
Увеличить