Официальное опубликование правовых актов
ОФИЦИАЛЬНОЕ ОПУБЛИКОВАНИЕ
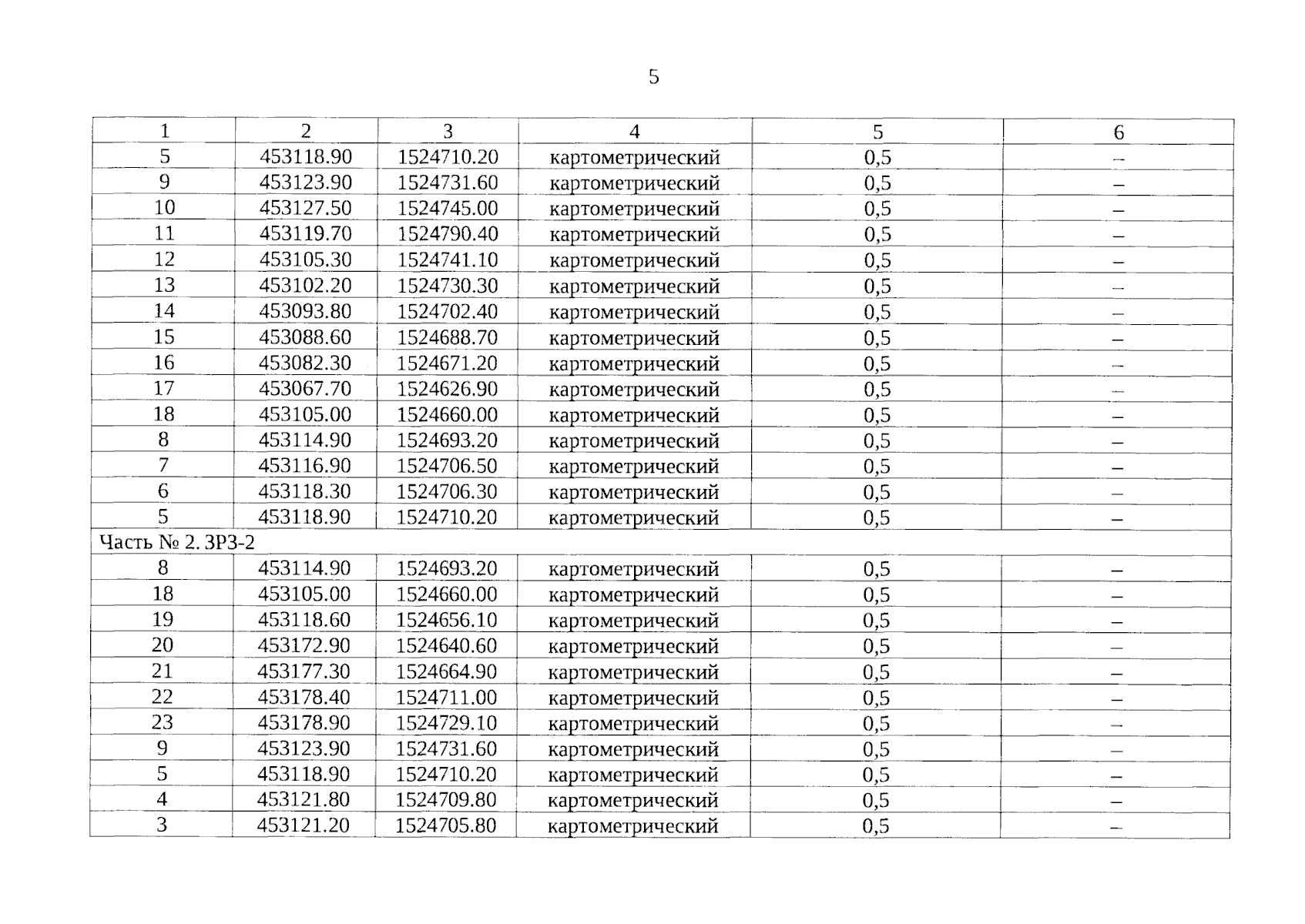
Приказ Управления государственной охраны объектов культурного наследия Свердловской области от 14.08.2023 № 506
"Об установлении зон охраны объекта культурного наследия регионального значения "Дом кузнеца С.И. Кириллова", расположенного по адресу: Свердловская область, Невьянский городской округ, с. Кунара, ул. Ленина, д. 9, и утверждении требований к градостроительным регламентам в границах данных зон"
(Зарегистрирован 15.08.2023 № 560)
Номер опубликования: 6601202308160008
Дата опубликования: 16.08.2023
Страница №5 из 11:
Увеличить