Официальное опубликование правовых актов
ОФИЦИАЛЬНОЕ ОПУБЛИКОВАНИЕ
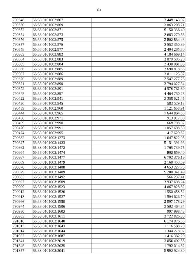
Приказ Министерства по управлению государственным имуществом Свердловской области от 31.07.2023 № 4350
"О внесении изменений в Результаты определения кадастровой стоимости объектов недвижимости, расположенных на территории Свердловской области: зданий, сооружений, помещений, машино-мест, объектов незавершенного строительства, единых недвижимых комплексов, утвержденные приказом Министерства по управлению государственным имуществом Свердловской области от 27.09.2019 № 2500"
(Зарегистрирован 04.08.2023 № 503)
Номер опубликования: 6601202308040001
Дата опубликования: 04.08.2023
Страница №63 из 659:
Увеличить