Официальное опубликование правовых актов
ОФИЦИАЛЬНОЕ ОПУБЛИКОВАНИЕ
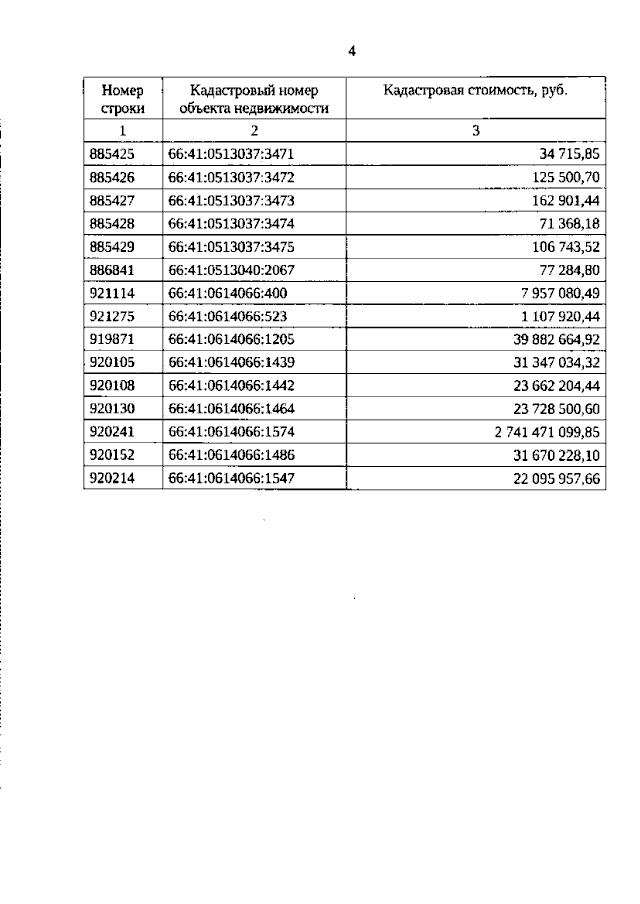
Приказ Министерства по управлению государственным имуществом Свердловской области от 28.07.2023 № 4331
"О внесении изменений в Результаты определения кадастровой стоимости земельных участков, расположенных на территории Свердловской области, утвержденные приказом Министерства по управлению государственным имуществом Свердловской области от 21.11.2022 № 5500"
(Зарегистрирован 02.08.2023 № 497)
Номер опубликования: 6601202308020012
Дата опубликования: 02.08.2023
Страница №4 из 4:
Увеличить