Официальное опубликование правовых актов
ОФИЦИАЛЬНОЕ ОПУБЛИКОВАНИЕ
Приказ Управления государственной охраны объектов культурного наследия Свердловской области от 20.04.2023 № 223
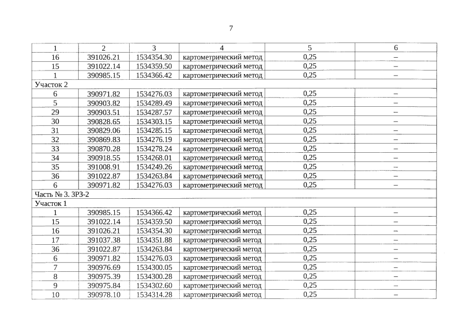
"Об установлении зон охраны объекта культурного наследия регионального значения "Ансамбль первой женской гимназии", расположенного по адресу: Свердловская область, г. Екатеринбург, ул. Карла Либкнехта, д. 9, ул. Толмачева, д. 8, и входящих в его состав объектов культурного наследия регионального значения "Корпус учебный" и "Каменные ворота", расположенных по адресу: Свердловская область, г. Екатеринбург, ул. Карла Либкнехта, д. 9, и "Пансион" и "Церковь Марии Магдалины", расположенных по адресу: Свердловская область, г. Екатеринбург, ул. Толмачева, д. 8, и утверждении требований к градостроительным регламентам в границах данных зон"
(Зарегистрирован 21.04.2023 № 159)
Номер опубликования: 6601202304250003
Дата опубликования: 25.04.2023
Страница №7 из 17:
Увеличить