Официальное опубликование правовых актов
ОФИЦИАЛЬНОЕ ОПУБЛИКОВАНИЕ
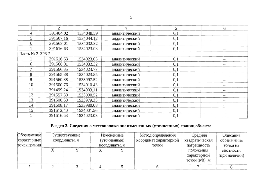
Приказ Управления государственной охраны объектов культурного наследия Свердловской области от 10.04.2023 № 203
"Об установлении зон охраны объекта культурного наследия регионального значения "Дом фабриканта, богатый художественной лепкой во внутренних помещениях", расположенного по адресу: Свердловская область, г. Екатеринбург, ул. Пролетарская, д. 3, и утверждении требований к градостроительным регламентам в границах данных зон"
(Зарегистрирован 11.04.2023 № 109)
Номер опубликования: 6601202304110025
Дата опубликования: 11.04.2023
Страница №5 из 10:
Увеличить