Официальное опубликование правовых актов
ОФИЦИАЛЬНОЕ ОПУБЛИКОВАНИЕ
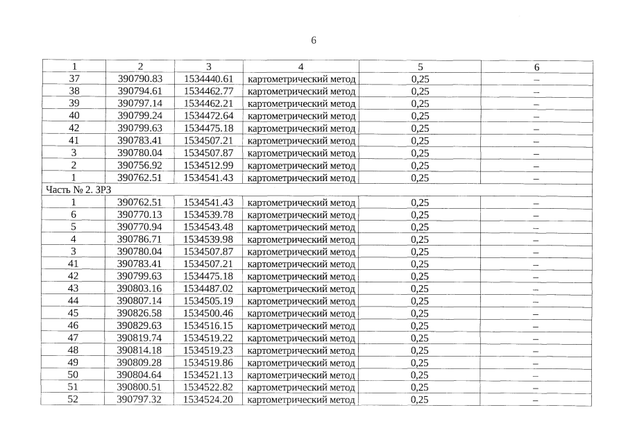
Приказ Управления государственной охраны объектов культурного наследия Свердловской области от 10.04.2023 № 200
"Об установлении зон охраны объекта культурного наследия регионального значения "Дом горного землемера Г.С. Ярутина", расположенного по адресу: Свердловская область, г. Екатеринбург, ул. Белинского, д. 3, и утверждении требований к градостроительным регламентам в границах данных зон"
(Зарегистрирован 11.04.2023 № 106)
Номер опубликования: 6601202304110017
Дата опубликования: 11.04.2023
Страница №6 из 12:
Увеличить