Официальное опубликование правовых актов
ОФИЦИАЛЬНОЕ ОПУБЛИКОВАНИЕ
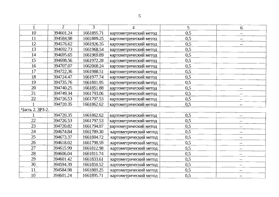
Приказ Управления государственной охраны объектов культурного наследия Свердловской области от 01.03.2023 № 116
"Об установлении зон охраны объекта культурного наследия регионального значения "Бывшая "Михайловская церковь" при детском приюте", расположенного по адресу: Свердловская область, г. Камышлов, ул. Маяковского, д. 11, и утверждении требований к градостроительным регламентам в границах данных зон"
Номер опубликования: 6601202303020002
Дата опубликования: 02.03.2023
Страница №5 из 11:
Увеличить