Официальное опубликование правовых актов
ОФИЦИАЛЬНОЕ ОПУБЛИКОВАНИЕ
Приказ Управления государственной охраны объектов культурного наследия Свердловской области от 08.02.2023 № 71
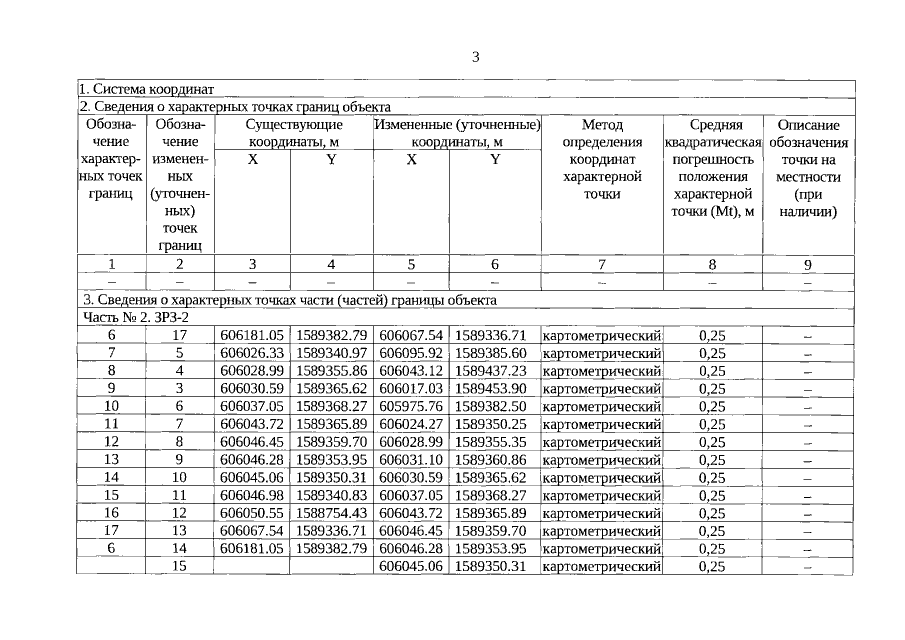
"О внесении изменений в зоны охраны объекта культурного наследия регионального значения "Ансамбль" и входящих в его состав объектов культурного наследия регионального значения "Часовня во имя Святого Праведника Симеона Верхотурского", "Подпорная стена" и "Ограда", расположенных по адресу: Свердловская область, Верхотурский район, с. Меркушино, ул. Центральная, д. 9е, установленные приказом Управления государственной охраны объектов культурного наследия Свердловской области от 19.08.2022 № 560"
Номер опубликования: 6601202302100006
Дата опубликования: 10.02.2023
Страница №3 из 5:
Увеличить